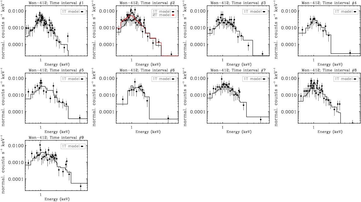
Fig. A.3

X-ray spectra observed in the time intervals defined for Mon-412. In each panel, the spectrum of the fitting model is marked with a solid line, while the black dots mark the observed normalized counts in the given energy bin. This star is a burster and there may be soft X-ray emission related to the bursts, but not significant enough to be analyzed in detail.
Current usage metrics show cumulative count of Article Views (full-text article views including HTML views, PDF and ePub downloads, according to the available data) and Abstracts Views on Vision4Press platform.
Data correspond to usage on the plateform after 2015. The current usage metrics is available 48-96 hours after online publication and is updated daily on week days.
Initial download of the metrics may take a while.