Free Access
Fig. C.5

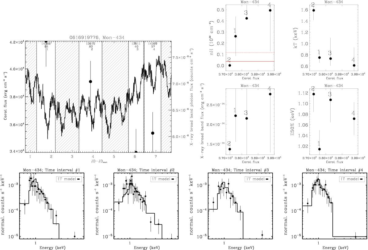
Variability and X-ray spectra of Mon-434. The CoRoT light curve is dominated by rotational modulation and likely pulsation, and it has been classified as a multi-periodic star by Cody et al. (2014). There may be evidence for correlated X-ray and CoRoT flux variability, but it is not significant.
This figure is made of several images, please see below:
Current usage metrics show cumulative count of Article Views (full-text article views including HTML views, PDF and ePub downloads, according to the available data) and Abstracts Views on Vision4Press platform.
Data correspond to usage on the plateform after 2015. The current usage metrics is available 48-96 hours after online publication and is updated daily on week days.
Initial download of the metrics may take a while.