Free Access
Fig. C.15

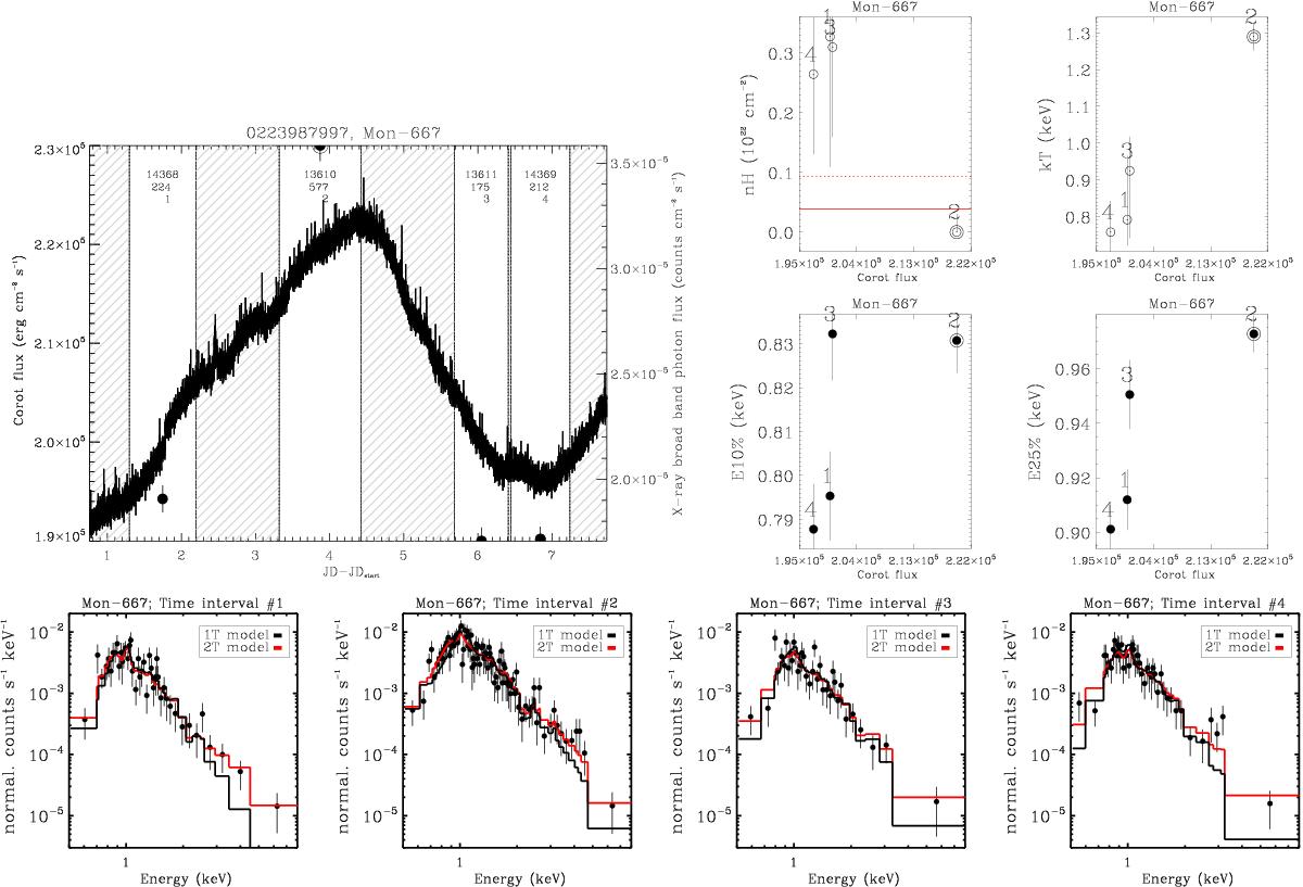
Variability and X-ray spectra of Mon-667. During the Chandra frames, Mon-667 mimics a quasi-periodic optical variability, but the CoRoT light curve shows evident dips after the Chandra observations. We analyzed it as a dipper, but the fit of the X-ray spectrum with 1T and 2T thermal plasma models are never well constrained.
This figure is made of several images, please see below:
Current usage metrics show cumulative count of Article Views (full-text article views including HTML views, PDF and ePub downloads, according to the available data) and Abstracts Views on Vision4Press platform.
Data correspond to usage on the plateform after 2015. The current usage metrics is available 48-96 hours after online publication and is updated daily on week days.
Initial download of the metrics may take a while.