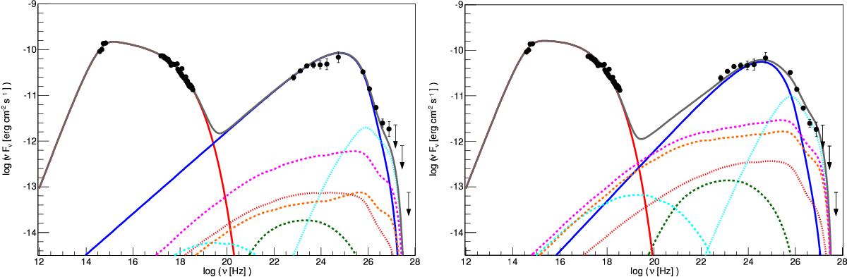
Fig. 6

SEDs for PKS 2155-304 with two hadronic models where proton synchrotron emission (left figure) or muon-synchrotron emission (right figure) dominates the TeV spectrum. These solutions correspond to a spectral index of n1 = 2.1 and 1.9, a magnetic field with log B [G] = 0.3 and 0.7, and an emission region of size log R [cm] = 9 × 1016 and 1.5 × 1016, respectively. See Fig. 2 for a description of the different curves. The dataset is described in the text.
Current usage metrics show cumulative count of Article Views (full-text article views including HTML views, PDF and ePub downloads, according to the available data) and Abstracts Views on Vision4Press platform.
Data correspond to usage on the plateform after 2015. The current usage metrics is available 48-96 hours after online publication and is updated daily on week days.
Initial download of the metrics may take a while.