Free Access

Fig. 8

image

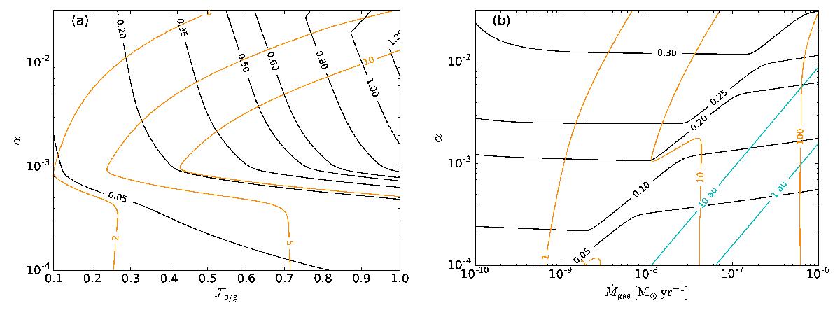
a) Contours of midplane solids-to-gas ratios (black) as function of the turbulence parameter α and the solids-to-gas accretion rate s / g. The gas accretion rate gas is fixed to 10-8Myr-1 and the initial size of the pebbles τ3 is fixed to 0.03. Orange contours denote the amount of solid material (in Earth masses) that is required to form the eventual peak in the ice surface density just outside the snowline. b) Contours of midplane solids-to-gas ratios as function of α and gas. The solids-to-gas accretion rate s / g is fixed to 0.4 and the initial size of the pebbles τ3 is fixed to 0.03. Orange contours denote the amount of solid material (in Earth masses) that is required to form the eventual peak in the ice surface density just outside the snowline. The cyan lines denote a Toomre parameter (QT) of unity at 10 au (1 au); the space below these lines has QT< 1 and is gravitationally unstable at 10 au (1 au).

This figure is made of several images, please see below:

Current usage metrics show cumulative count of Article Views (full-text article views including HTML views, PDF and ePub downloads, according to the available data) and Abstracts Views on Vision4Press platform.

Data correspond to usage on the plateform after 2015. The current usage metrics is available 48-96 hours after online publication and is updated daily on week days.

Initial download of the metrics may take a while.