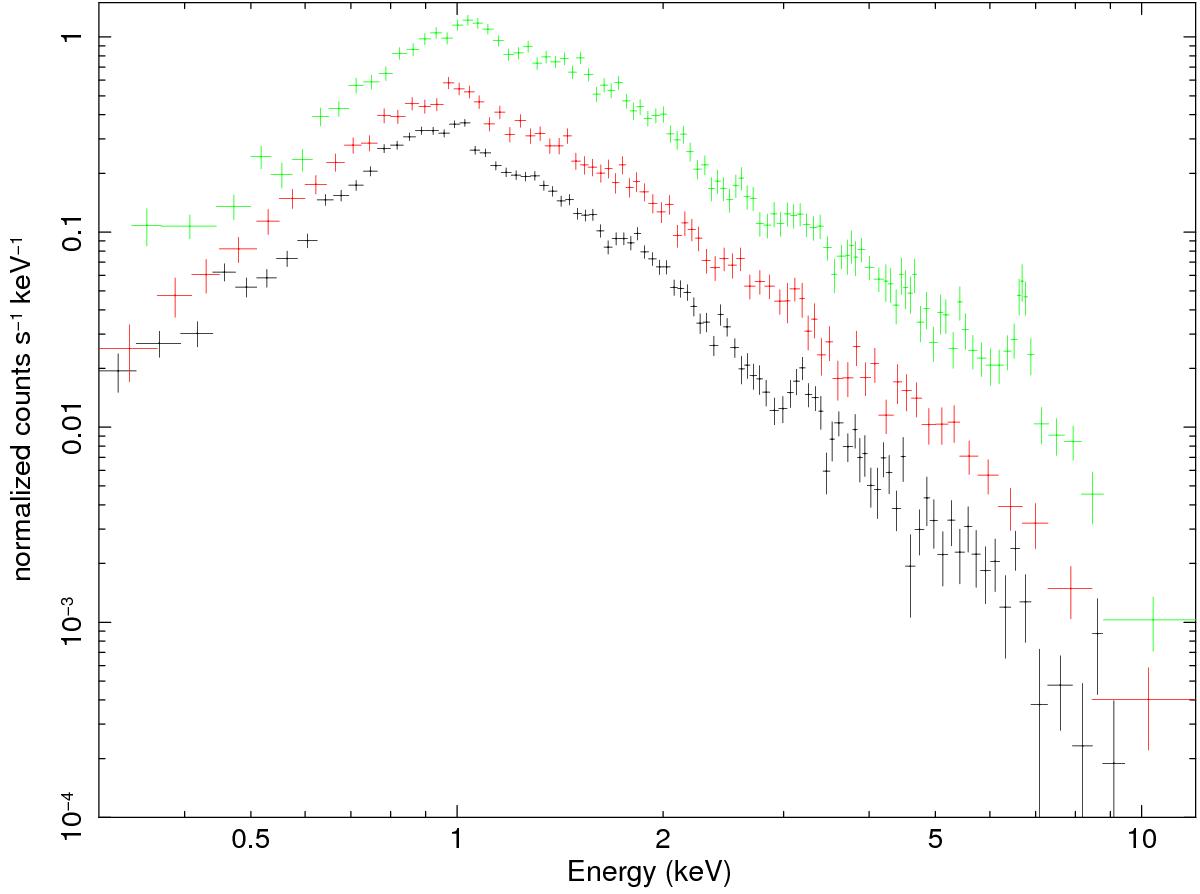
Fig. 5

Plot of pn spectra of ρ Oph A during quiescent phase (time bins 10–24, bin 13 excluded, black spectrum), peak of the first event (bins 5–8, red spectrum), and peak of the second event (bins 27–33, green spectrum). This latter shows the complex of lines of ionized Fe at 6.7 keV evidencing the high temperature of the plasma (≥5.4 keV) reached during the peak of the second event.
Current usage metrics show cumulative count of Article Views (full-text article views including HTML views, PDF and ePub downloads, according to the available data) and Abstracts Views on Vision4Press platform.
Data correspond to usage on the plateform after 2015. The current usage metrics is available 48-96 hours after online publication and is updated daily on week days.
Initial download of the metrics may take a while.