Free Access

Fig. 5

image

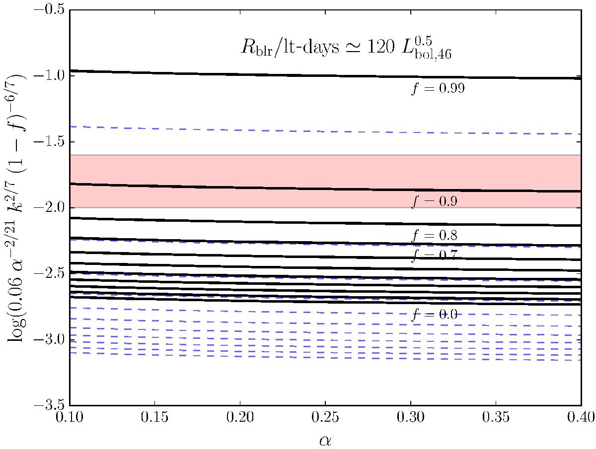
The logarithm of the normalisation of Eq. (21) as a function of α. The κ factor has been fixed to 3 × 10-6, corresponding to a broad line region size of approximately 3 × 1017 cm (~ 120 light days) for a bolometric luminosity of 1046 erg s-1. The solid black lines correspond to different values of f, which go from 0 to 0.99 from bottom to top. The dashed blue lines correspond to the normalisation at ~4 light days in the same range of f. The red shaded area indicates the range of observed (see Table 1).

Current usage metrics show cumulative count of Article Views (full-text article views including HTML views, PDF and ePub downloads, according to the available data) and Abstracts Views on Vision4Press platform.

Data correspond to usage on the plateform after 2015. The current usage metrics is available 48-96 hours after online publication and is updated daily on week days.

Initial download of the metrics may take a while.