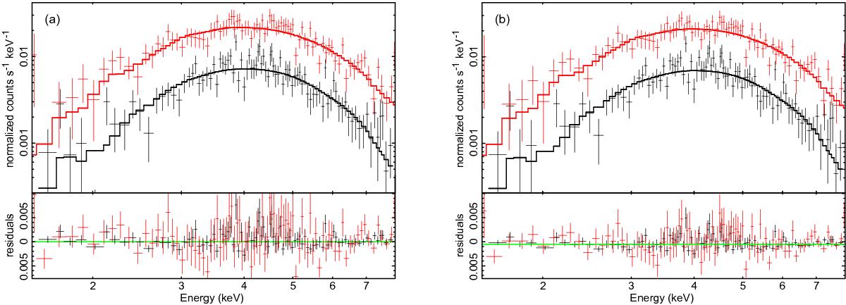
Fig. 6

X-ray spectrum of G29.37+0.1 in the 1.5–8.0 keV energy band. We show the merged Chandra (in black) and XMM-Newton (in red) spectra obtained combining the individual spectra for the different observations, as described in the text. The lines are the best-fit with a) an absorbed power-law model and b) an absorbed bremsstrahlung model.
Current usage metrics show cumulative count of Article Views (full-text article views including HTML views, PDF and ePub downloads, according to the available data) and Abstracts Views on Vision4Press platform.
Data correspond to usage on the plateform after 2015. The current usage metrics is available 48-96 hours after online publication and is updated daily on week days.
Initial download of the metrics may take a while.