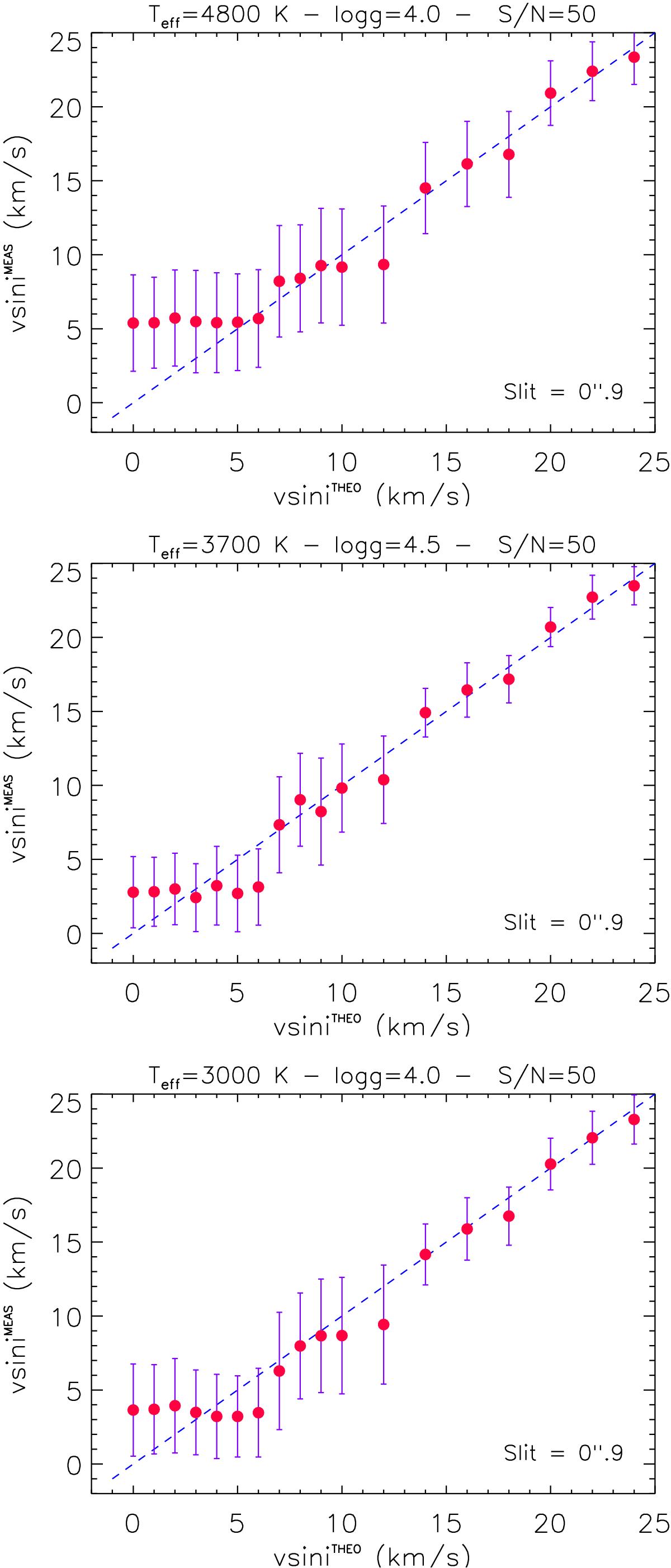
Fig. C.1

Results of the Monte Carlo simulations on vsini made with synthetic spectra at three Teff for S/N = 50 and R = 8400 (slit width 09). The average vsini values measured with our procedure (dots) are plotted against the “theoretical” vsini to which the spectra have been broadened. The error bars represent the standard deviations of the 200 simulations at each vsini. The 1:1 relation is plotted with a dashed line.
Current usage metrics show cumulative count of Article Views (full-text article views including HTML views, PDF and ePub downloads, according to the available data) and Abstracts Views on Vision4Press platform.
Data correspond to usage on the plateform after 2015. The current usage metrics is available 48-96 hours after online publication and is updated daily on week days.
Initial download of the metrics may take a while.