Free Access

Fig. 10

image

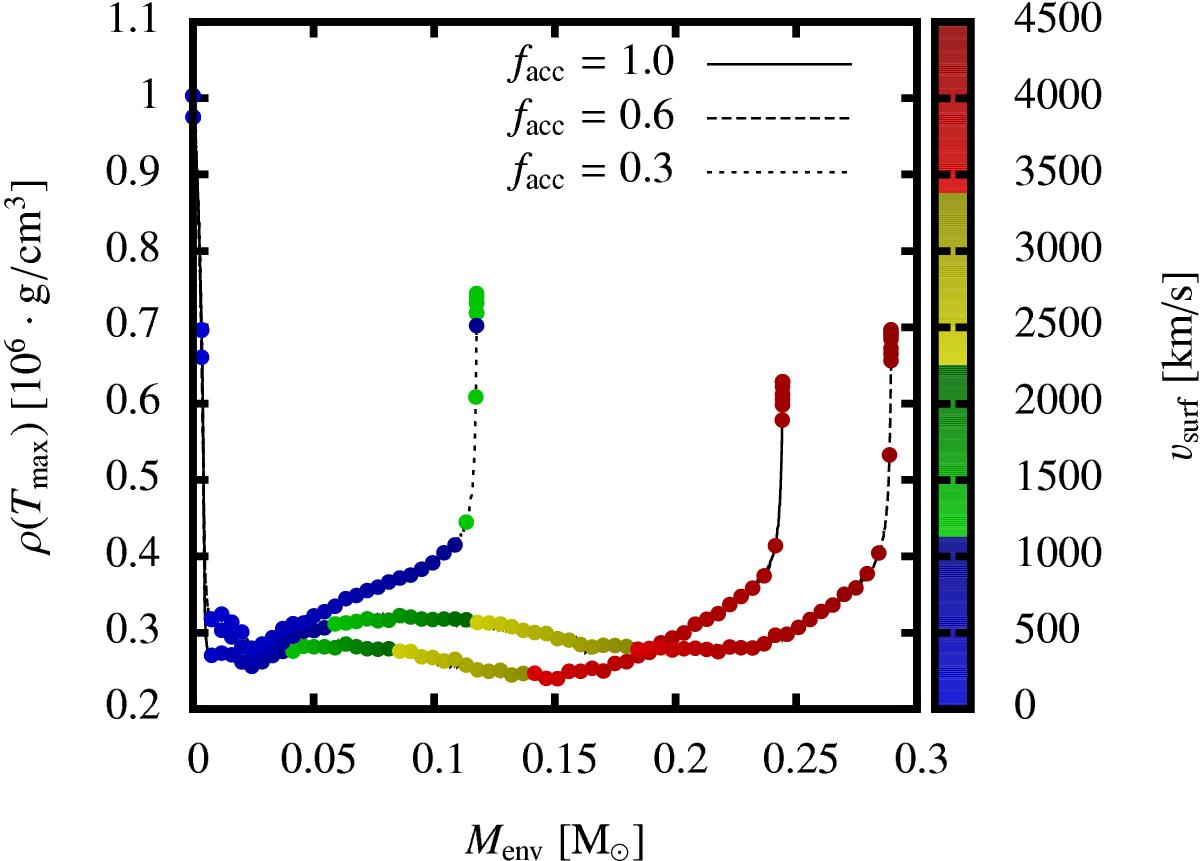
Densities at the point of highest temperature (ρ(Tmax)) with respect to the total current mass of the accumulated He-envelope (MHe). The colored dots indicate the current surface velocity of the model. Depicted are model sequences lm10810-3, lm10806-3 and lm10803-3. The model sequences differ in the chosen facc-parameter.

Current usage metrics show cumulative count of Article Views (full-text article views including HTML views, PDF and ePub downloads, according to the available data) and Abstracts Views on Vision4Press platform.

Data correspond to usage on the plateform after 2015. The current usage metrics is available 48-96 hours after online publication and is updated daily on week days.

Initial download of the metrics may take a while.