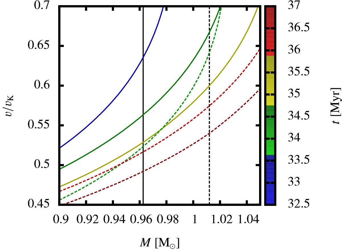
Fig. 11

Local rotational velocity (v) divided by the local Keplerian velocity (vK) with respect to mass coordinate (M). Depicted are model sequences lm10810-3 and lm10806-3. Solid lines represent the facc = 1.0 case (lm10810-3), dotted lines the facc = 0.6 case (lm10806-3). The color bar indicates the time-coordinate of the profile. The black lines indicate the mass coordinate of the point of ignition for the respective model. The solid black line is valid for facc = 1.0 and the dotted line for facc = 0.6.
Current usage metrics show cumulative count of Article Views (full-text article views including HTML views, PDF and ePub downloads, according to the available data) and Abstracts Views on Vision4Press platform.
Data correspond to usage on the plateform after 2015. The current usage metrics is available 48-96 hours after online publication and is updated daily on week days.
Initial download of the metrics may take a while.