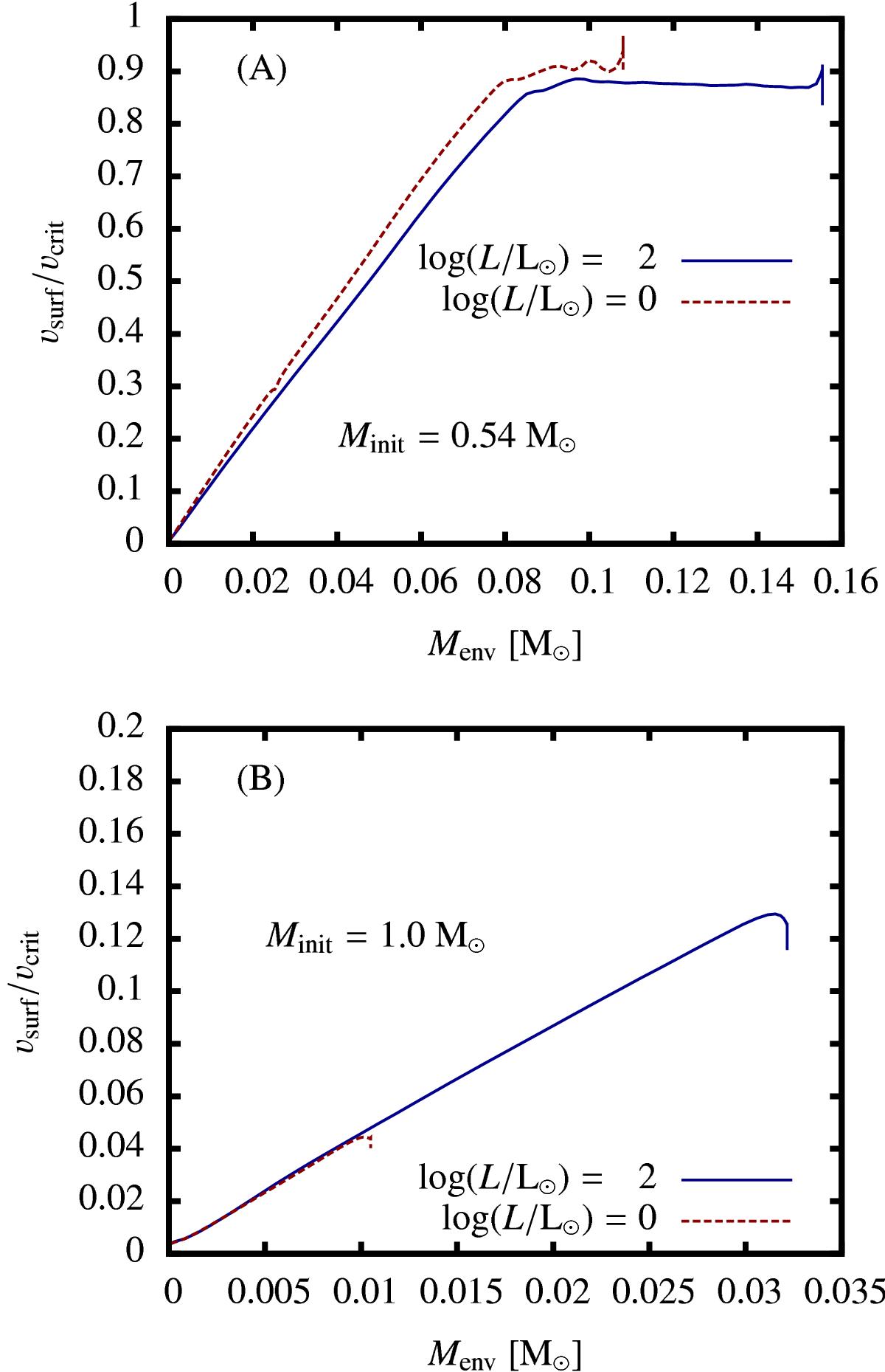
Fig. 2

Evolution of the surface velocities of model sequences L00510-5, Lm20510-5 (A) and L01010-5, Lm21010-5 (B). All model sequences are computed up to He-ignition. The y-axis is normalized to the critical rotational velocity. Menv is the mass of the helium envelope and corresponds to the amount of helium accreted. All models were computed with Ṁ = 5 × 10-8M⊙/ yr and facc = 1.0.
Current usage metrics show cumulative count of Article Views (full-text article views including HTML views, PDF and ePub downloads, according to the available data) and Abstracts Views on Vision4Press platform.
Data correspond to usage on the plateform after 2015. The current usage metrics is available 48-96 hours after online publication and is updated daily on week days.
Initial download of the metrics may take a while.