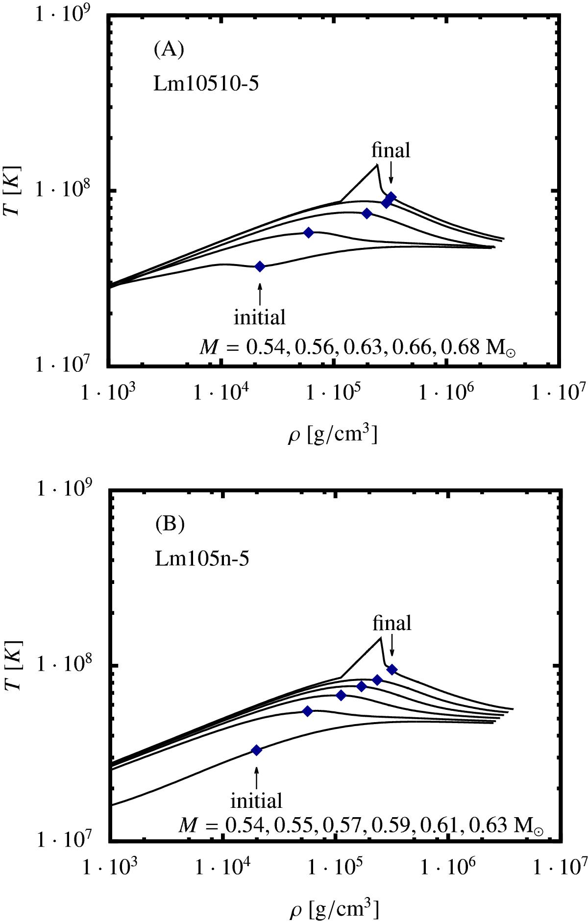
Fig. 4

Evolution of the temperature-density profile of a rotating (A) and non-rotating (B) WD with 0.54 M⊙ accretion rate is 5 × 10-8M⊙/ yr, facc = 1.0 and log (Linit/L⊙) = −1. Blue dots indicate the core-envelope interface. Initial (at the beginning of mass accretion) and final (at the point of helium ignition) profiles are indicated. The given masses (left to right) correspond to the presented profiles (initial to final). We note that the profiles marked as “initial” are not the first models in their evolutionary sequence, having been evolved for about one kyr each.
Current usage metrics show cumulative count of Article Views (full-text article views including HTML views, PDF and ePub downloads, according to the available data) and Abstracts Views on Vision4Press platform.
Data correspond to usage on the plateform after 2015. The current usage metrics is available 48-96 hours after online publication and is updated daily on week days.
Initial download of the metrics may take a while.