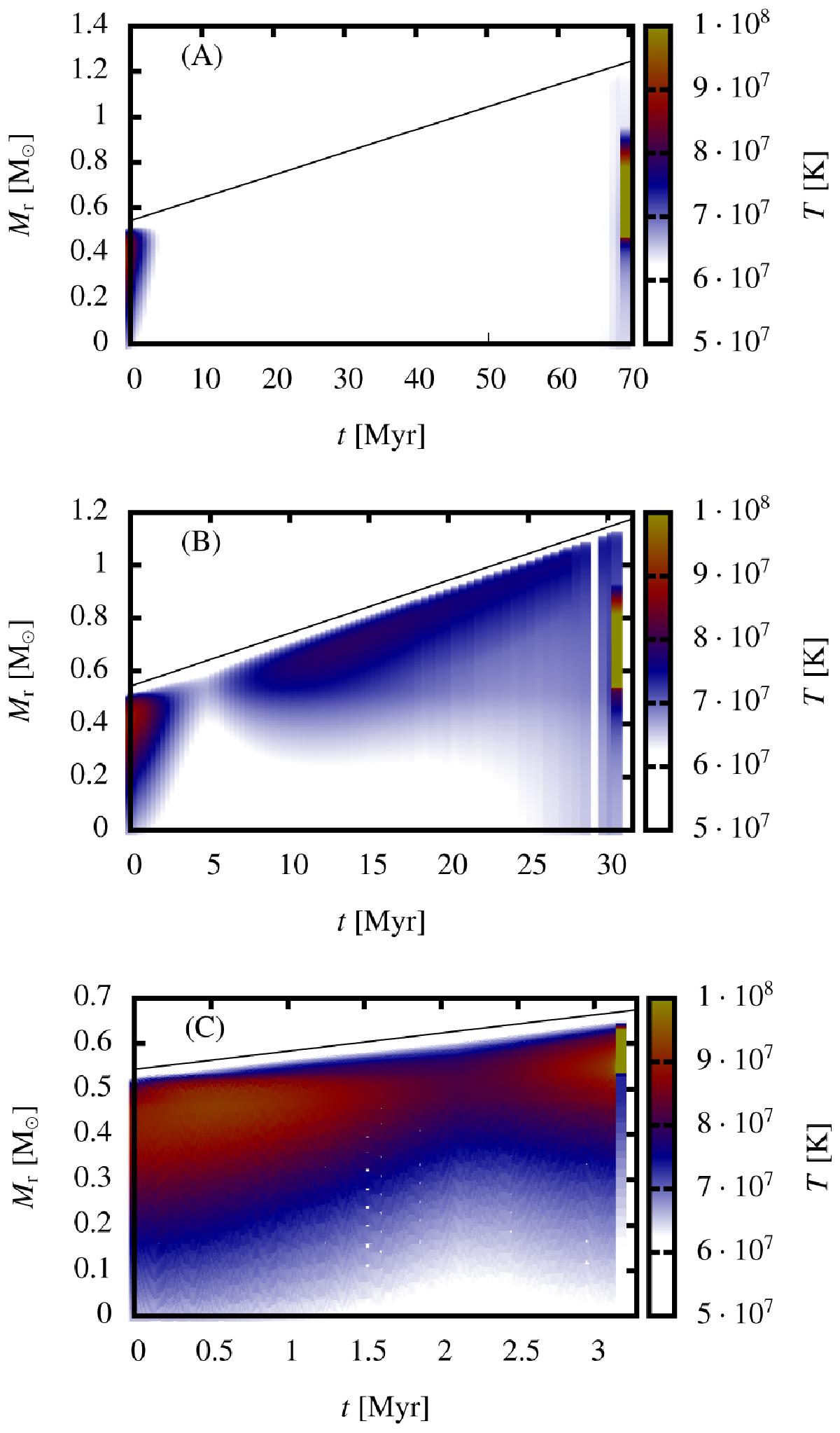
Fig. 8

Temperature profiles over time of individual representative model sequences. Mr is the mass coordinate, t the time since the start of the accretion phase. The color bar indicates temperature and the black line corresponds to the current total mass of the WD. All model sequences were computed with initial parameters of Minit = 0.54 M⊙, log (Linit/L⊙) = 0 and facc = 1.0. Model sequence A) (L00510-1) uses a mass accretion rate of Ṁ = 1 × 10-8M⊙/ yr, model B) (L00510-2) Ṁ = 2 × 10-8M⊙/ yr and model C) (L00510-4) Ṁ = 4 × 10-8M⊙/ yr. It should be noted that the temperature color scale was restricted to the indicated range. Temperatures higher and lower than the limits do occur. The gap visible in plot B) is due to a subsequence of models computed with a larger time step than the rest of the sequence, resulting in a physically irrelevant discontinuity of the available data.
Current usage metrics show cumulative count of Article Views (full-text article views including HTML views, PDF and ePub downloads, according to the available data) and Abstracts Views on Vision4Press platform.
Data correspond to usage on the plateform after 2015. The current usage metrics is available 48-96 hours after online publication and is updated daily on week days.
Initial download of the metrics may take a while.