Fig. 5

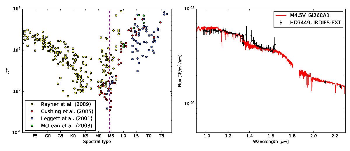
Left: goodness-of-fit (G′′ factor, see text for details) with respect to the spectral type for the comparison of our IRDIFS data of the HD 7449 candidate to spectral templates from various stellar and brown-dwarf libraries; the best fit is shown by a vertical line. Right: best-fit spectrum of Gl 268 (plain red line) compared to the extracted data points (black dots).
Current usage metrics show cumulative count of Article Views (full-text article views including HTML views, PDF and ePub downloads, according to the available data) and Abstracts Views on Vision4Press platform.
Data correspond to usage on the plateform after 2015. The current usage metrics is available 48-96 hours after online publication and is updated daily on week days.
Initial download of the metrics may take a while.