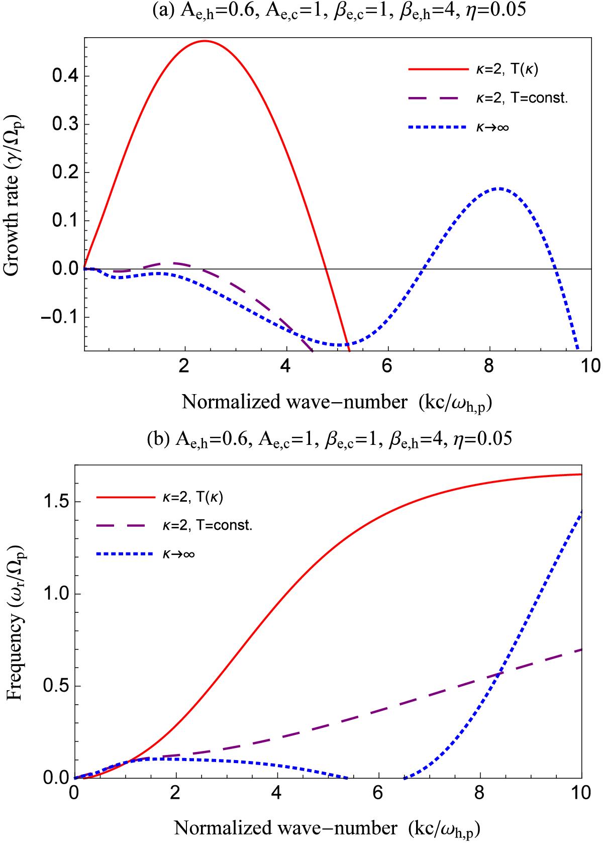
Fig. 6

EFHI: growth rates (top) and real frequencies (bottom) derived for a dual model comprising a Maxwellian core and a bi-Kappa halo (κ = 2) with κ-dependent temperatures (solid lines), κ-independent temperatures (dashed lines), or their bi-Maxwellian limit (κ → ∞, dotted-lines). The plasma parameters for electrons are given explicitly in each panel and for protons are Ap,c = Ap,h = 1, βp,c = 1, βp,h = 4.
Current usage metrics show cumulative count of Article Views (full-text article views including HTML views, PDF and ePub downloads, according to the available data) and Abstracts Views on Vision4Press platform.
Data correspond to usage on the plateform after 2015. The current usage metrics is available 48-96 hours after online publication and is updated daily on week days.
Initial download of the metrics may take a while.