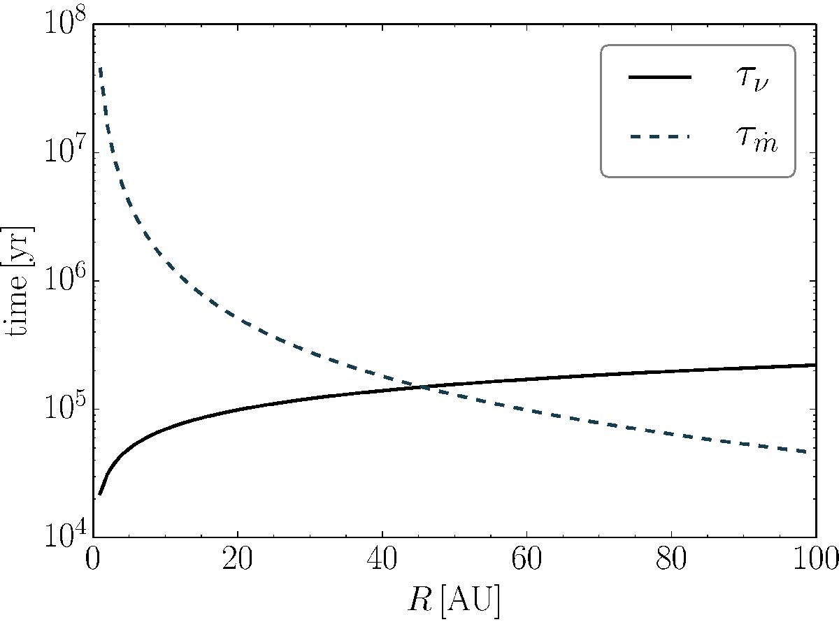
Fig. 1

Different timescales as a function of the radius in the disc, using the disc parameters of one of our simulations, vISM = 3 km s-1 and ρISM = 1.9 × 10-19 g/cm3. This is the case with the longest accretion timescale, τṁ, which is not in the regime where Bondi-Hoyle accretion dominates. The dashed line is the timescale on which mass is loaded on the disc (see Eq. (8)) and the solid line represents the viscous timescale (see Eq. (7)).
Current usage metrics show cumulative count of Article Views (full-text article views including HTML views, PDF and ePub downloads, according to the available data) and Abstracts Views on Vision4Press platform.
Data correspond to usage on the plateform after 2015. The current usage metrics is available 48-96 hours after online publication and is updated daily on week days.
Initial download of the metrics may take a while.