Free Access
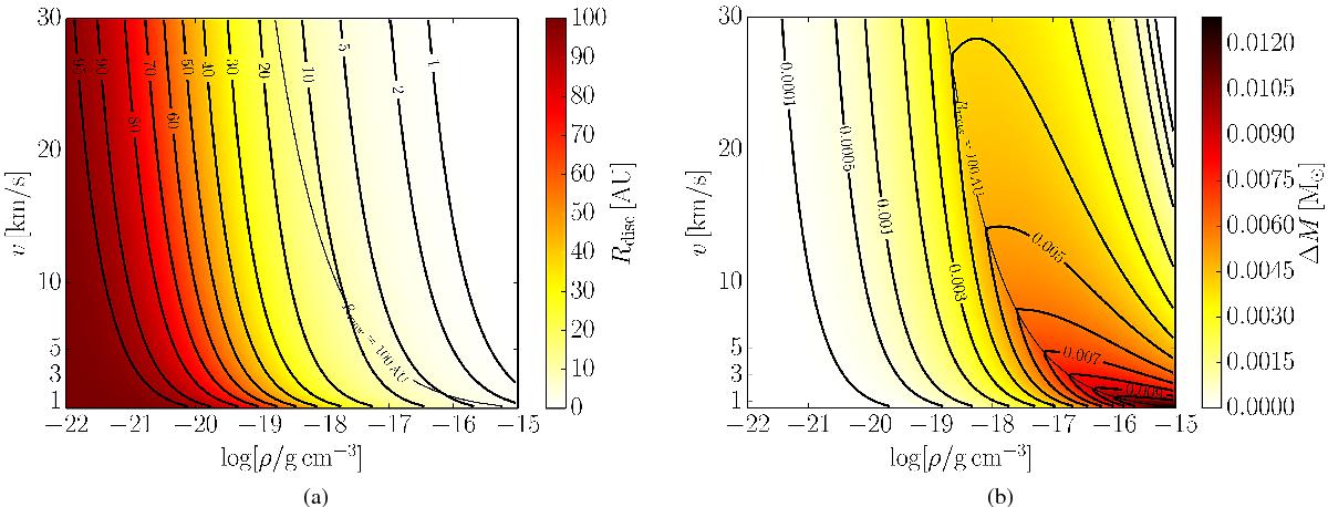
Fig. 8

Predictions of our theoretical model as a function of the density-velocity parameter space for a) the radius of the disc and b) the amount of accreted ISM after continuous accretion for 1 Myr. Bondi-Hoyle accretion is not taken into account.
This figure is made of several images, please see below:
Current usage metrics show cumulative count of Article Views (full-text article views including HTML views, PDF and ePub downloads, according to the available data) and Abstracts Views on Vision4Press platform.
Data correspond to usage on the plateform after 2015. The current usage metrics is available 48-96 hours after online publication and is updated daily on week days.
Initial download of the metrics may take a while.