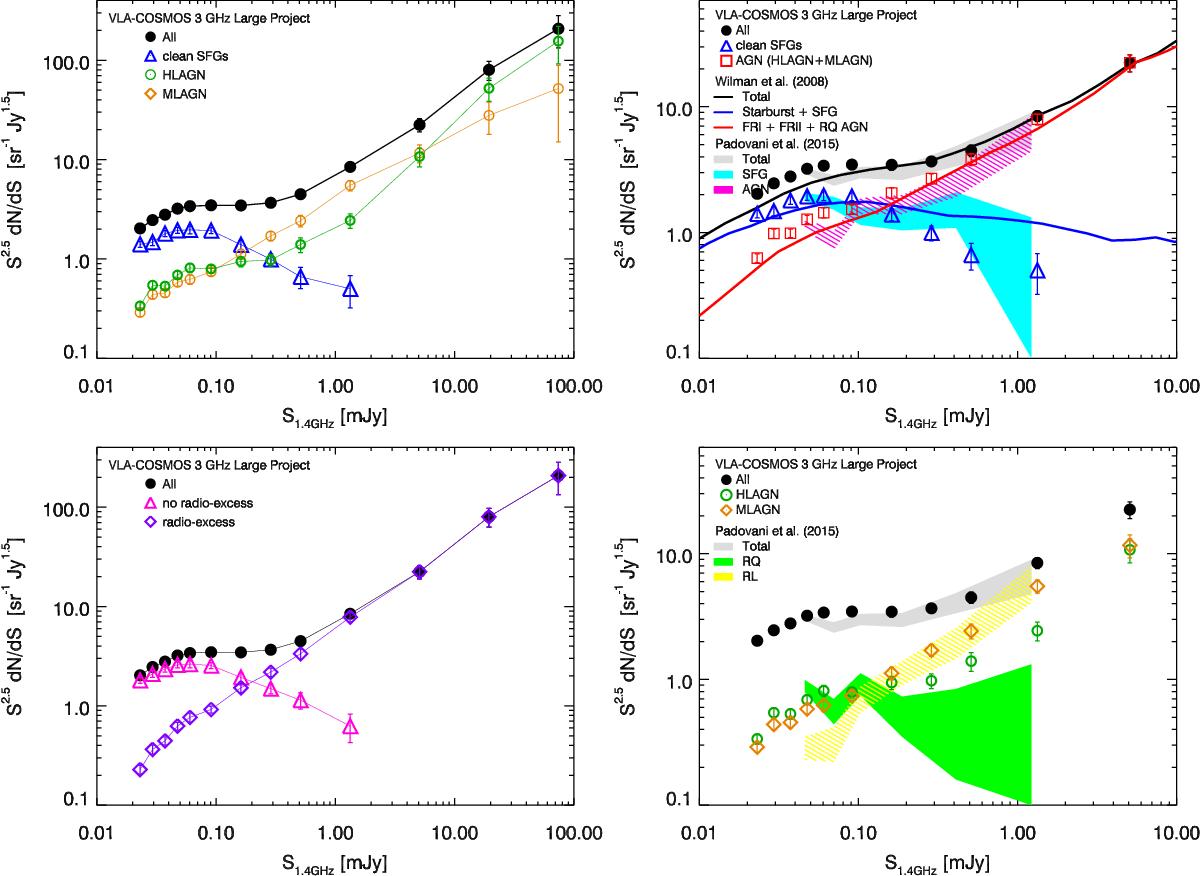
Fig. 13

VLA-COSMOS 3 GHz Large Project radio source counts, separated into various (not overlapping) populations (symbols, as indicated in the panels). The lines in the left panels connect the VLA-COSMOS 3 GHz Large project symbols. Lines and colored areas in the right hand-side panels show various source counts from the literature, as indicated in each panel.
Current usage metrics show cumulative count of Article Views (full-text article views including HTML views, PDF and ePub downloads, according to the available data) and Abstracts Views on Vision4Press platform.
Data correspond to usage on the plateform after 2015. The current usage metrics is available 48-96 hours after online publication and is updated daily on week days.
Initial download of the metrics may take a while.