Free Access
Fig. D.2

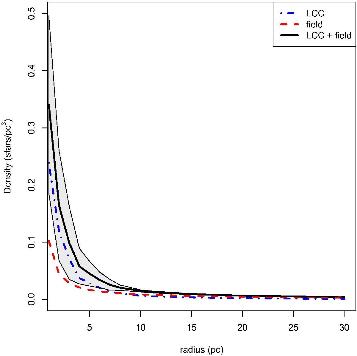
Current density of stars in the vicinity of the HD 106906 system inferred from LCC cluster members and field stars. The colored region indicates the upper/lower limits (at the 1σ level) for the final density of stars (cluster + field) at different radii around the target.
Current usage metrics show cumulative count of Article Views (full-text article views including HTML views, PDF and ePub downloads, according to the available data) and Abstracts Views on Vision4Press platform.
Data correspond to usage on the plateform after 2015. The current usage metrics is available 48-96 hours after online publication and is updated daily on week days.
Initial download of the metrics may take a while.