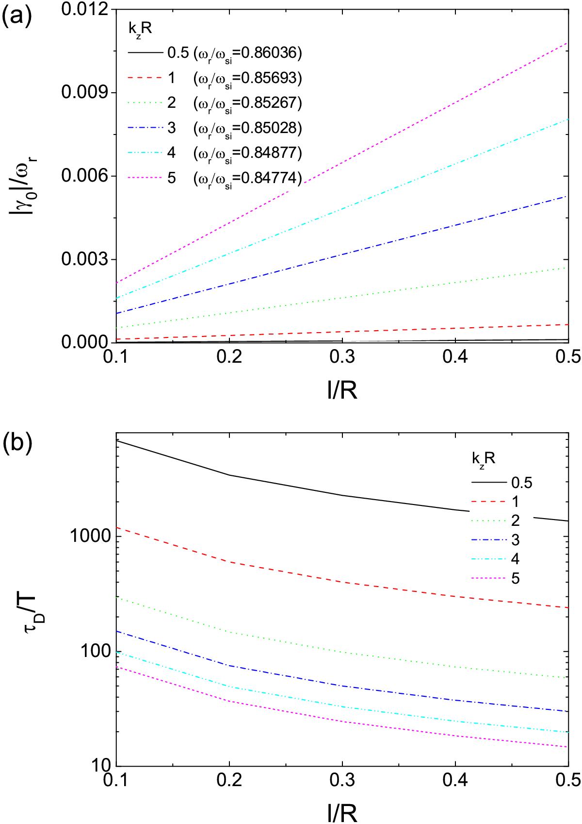
Fig. 4

a) Damping rate | γ0 | /ωr and b) the ratio of damping time to the period τD/T versus l/R. For the slow surface mode (ss). The other parameters are the same as in the previous figures. In a) we denote the value of the wave frequency (ωr/ωsi) corresponding to each value of kzR, which is omitted in b). In b) τD/T is shown in log scale.
Current usage metrics show cumulative count of Article Views (full-text article views including HTML views, PDF and ePub downloads, according to the available data) and Abstracts Views on Vision4Press platform.
Data correspond to usage on the plateform after 2015. The current usage metrics is available 48-96 hours after online publication and is updated daily on week days.
Initial download of the metrics may take a while.