Free Access

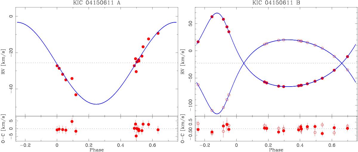
Fig. 4

image

Radial velocity curves of the components A (left) and B (right) of KIC 4150611, phase folded with their orbital periods. The best-fitting models are plotted with blue lines. Filled circles on the right panel refer to the primary Ba, and open ones to the secondary Bb. Phases 0 are set for the eclipse mid-times (the deeper one in case of B).

This figure is made of several images, please see below:

Current usage metrics show cumulative count of Article Views (full-text article views including HTML views, PDF and ePub downloads, according to the available data) and Abstracts Views on Vision4Press platform.

Data correspond to usage on the plateform after 2015. The current usage metrics is available 48-96 hours after online publication and is updated daily on week days.

Initial download of the metrics may take a while.