Free Access

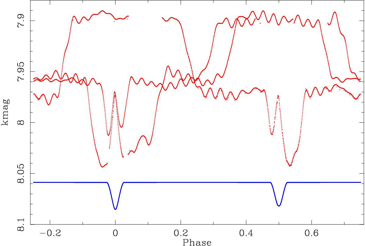
Fig. 9

image

Three deep eclipses of the F1-type pulsator (red points, short-cadence data) phase folded with the period of the 1.52-day pair. The model curve of this pair is shown in blue (scaled and shifted for clarity). The brightening events in the deep eclipses coincide with the eclipses of the 1.52-day par, proving that this is the system revolving around the pulsator.

Current usage metrics show cumulative count of Article Views (full-text article views including HTML views, PDF and ePub downloads, according to the available data) and Abstracts Views on Vision4Press platform.

Data correspond to usage on the plateform after 2015. The current usage metrics is available 48-96 hours after online publication and is updated daily on week days.

Initial download of the metrics may take a while.