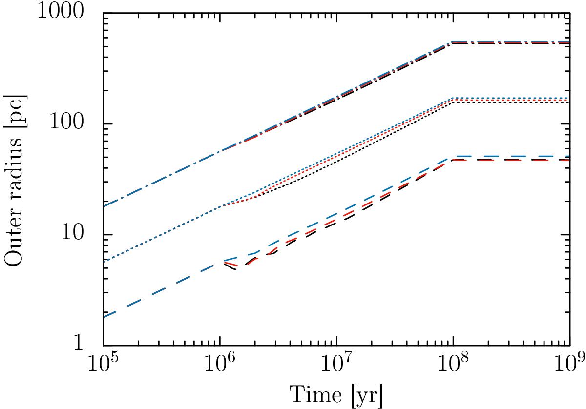
Fig. 10

Time evolution of the disk outer radius for different mass supply rates: 1 M⊙ yr-1 (dashed-line), 10 M⊙ yr-1 (dotted-line) and 100 M⊙yr-1 (dashed-dotted line) under different assumptions regarding the gravitational field, that is, dominated by the central black-hole (black colour), by the CND (red colour) and by the host galaxy (blue colour).
Current usage metrics show cumulative count of Article Views (full-text article views including HTML views, PDF and ePub downloads, according to the available data) and Abstracts Views on Vision4Press platform.
Data correspond to usage on the plateform after 2015. The current usage metrics is available 48-96 hours after online publication and is updated daily on week days.
Initial download of the metrics may take a while.