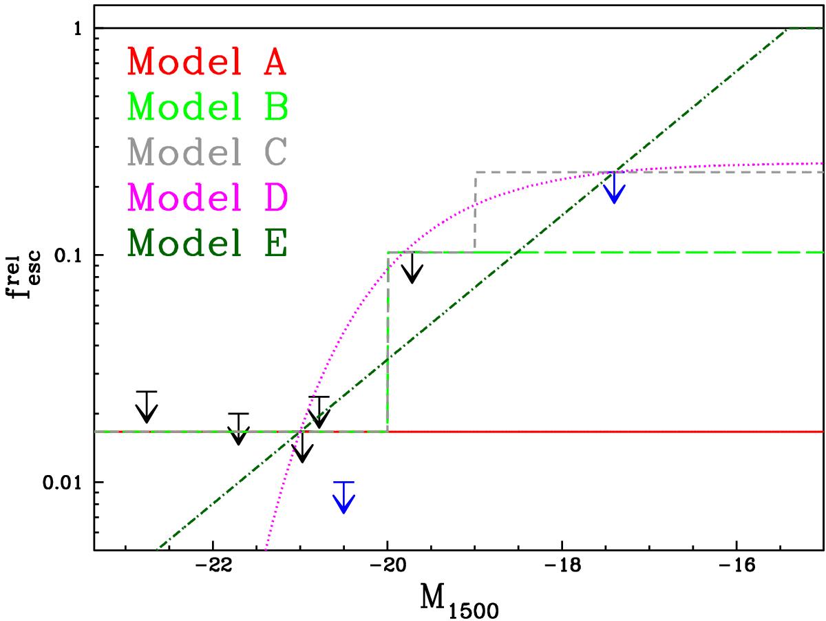
Fig. 5

The dependence of the relative escape fraction from the absolute magnitude in the UV M1500. The black arrows are the upper limits to the relative escape fractions derived from the stacks of LBC data in this paper, summarized in Table 2. The observed trend of looser upper limits with fainter magnitudes is due to the limited depth of the data in the UV wavelengths, and plausibly it is not related to a physical property of the population of star-forming galaxies. The blue arrows summarized the values available in literature for individual lensed galaxies, by Amorin et al. (2014) and Bayliss et al. (2014), in the luminosity ranges not covered by our data. For the Bayliss et al. (2014) source, the limit of 1% has been plotted only for graphical reasons, but could be significantly lower. The different curves show analytic functions which have been adopted to infer the evolution of the relative escape fraction from luminosity. These functions have been used in order to check for the contribution of galaxies at different luminosities to the observed UVB.
Current usage metrics show cumulative count of Article Views (full-text article views including HTML views, PDF and ePub downloads, according to the available data) and Abstracts Views on Vision4Press platform.
Data correspond to usage on the plateform after 2015. The current usage metrics is available 48-96 hours after online publication and is updated daily on week days.
Initial download of the metrics may take a while.