Free Access
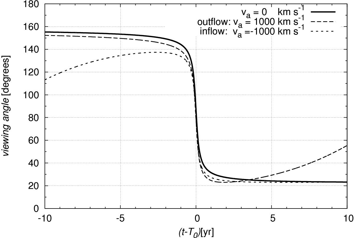
Fig. A.1

Viewing angle of the bow shock as a function of time for a negligible motion of the medium, an outflow of 1000 km s-1, and an inflow of 1000 km s-1 (see the key).
Current usage metrics show cumulative count of Article Views (full-text article views including HTML views, PDF and ePub downloads, according to the available data) and Abstracts Views on Vision4Press platform.
Data correspond to usage on the plateform after 2015. The current usage metrics is available 48-96 hours after online publication and is updated daily on week days.
Initial download of the metrics may take a while.