Free Access
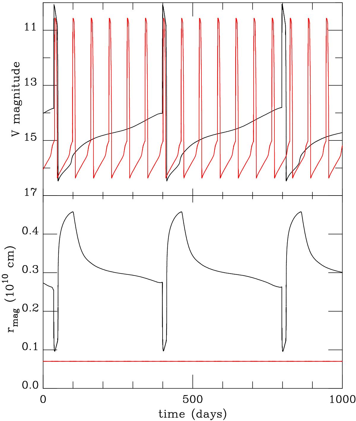
Fig. 4

Time evolution of a system with a 1.5 h orbital period, for magnetic moments of 0 (red curve) and 1031 (black curve) G cm3. The top panel shows the V magnitude of the accretion disc (contributions from the secondary, the white dwarf, and the hot spot are not included) and the bottom panel shows the inner disc radius.
Current usage metrics show cumulative count of Article Views (full-text article views including HTML views, PDF and ePub downloads, according to the available data) and Abstracts Views on Vision4Press platform.
Data correspond to usage on the plateform after 2015. The current usage metrics is available 48-96 hours after online publication and is updated daily on week days.
Initial download of the metrics may take a while.