Free Access

Fig. 13

image

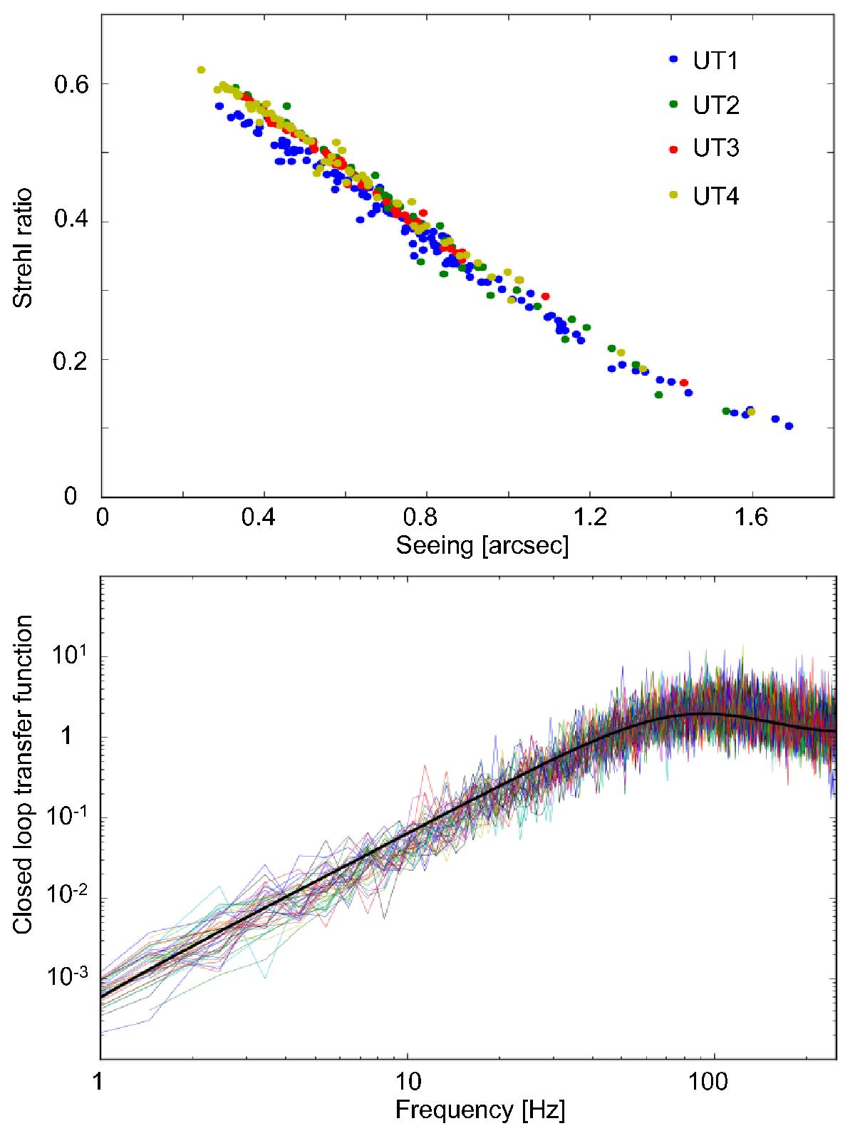
Adaptive optics performance: the top panel shows the K-band Strehl ratio as a function of atmospheric seeing (at 500 nm). The Strehl ratio and seeing are derived from the wavefront residuals as observed with the wavefront sensor, and calibrated with K-band observations of the components of wide binary stars using the VLTI Infrared Image Sensor (IRIS, Gitton et al. 2004). The bottom panel shows the closed loop transfer function for Zernike modes up to order 44 as measured on the mK = 6.5 mag star GC IRS 7. Both curves are representative for observations of bright objects with mK ≲ 7 mag.

Current usage metrics show cumulative count of Article Views (full-text article views including HTML views, PDF and ePub downloads, according to the available data) and Abstracts Views on Vision4Press platform.

Data correspond to usage on the plateform after 2015. The current usage metrics is available 48-96 hours after online publication and is updated daily on week days.

Initial download of the metrics may take a while.