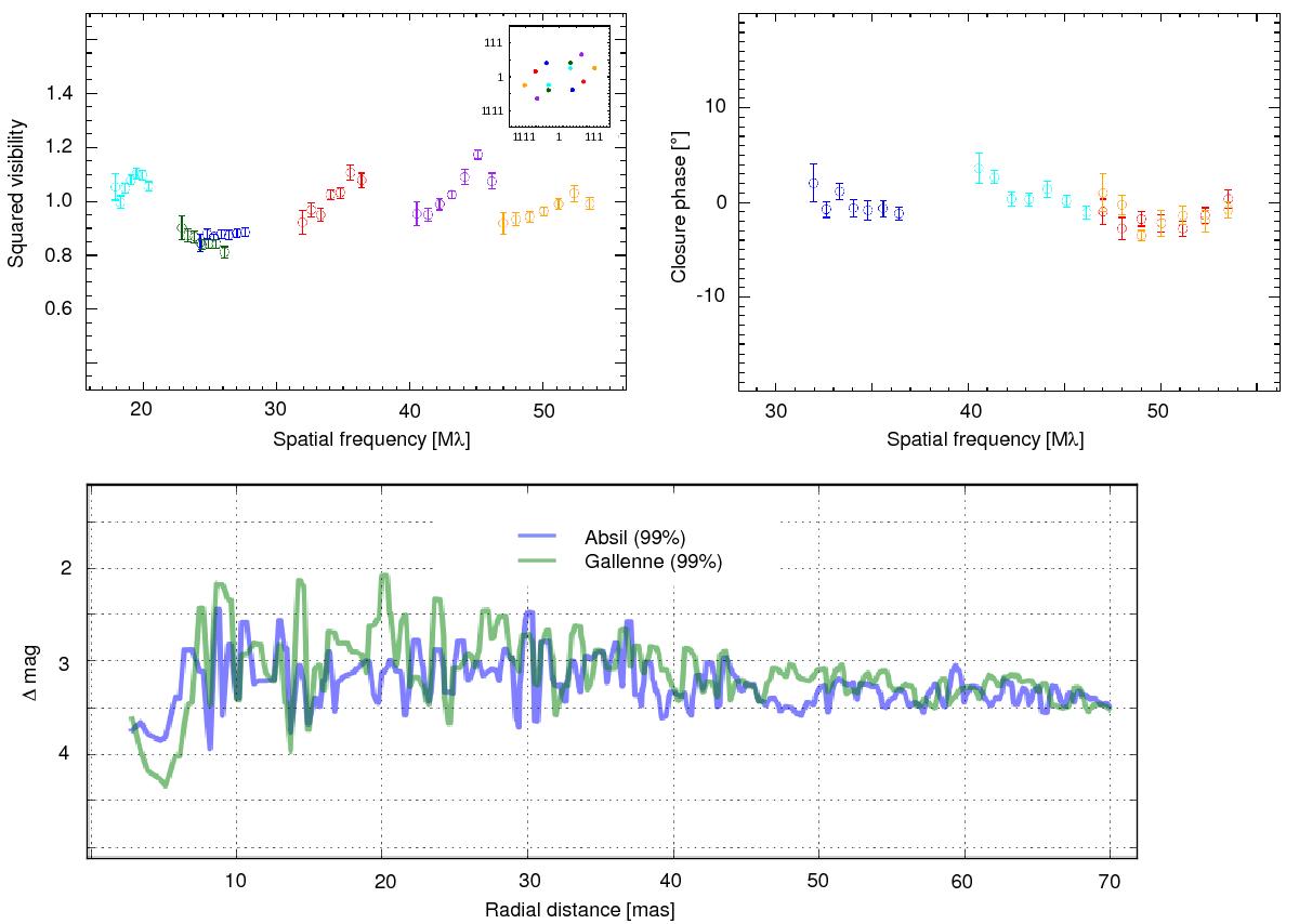
Fig. 21

Galactic center star S2: the top panel shows the observed squared visibilities and closure phases. The baseline coverage is shown in the small inset. The bottom panel displays the 3σ detection limit for companions of S2 as function of separation applying two different methods (Absil et al. 2011; Gallenne et al. 2015). Companions brighter than ΔmK = 3 mag, corresponding to a limiting magnitude of mK = 17.1 mag, are ruled out.
Current usage metrics show cumulative count of Article Views (full-text article views including HTML views, PDF and ePub downloads, according to the available data) and Abstracts Views on Vision4Press platform.
Data correspond to usage on the plateform after 2015. The current usage metrics is available 48-96 hours after online publication and is updated daily on week days.
Initial download of the metrics may take a while.