Free Access

Fig. 14

image

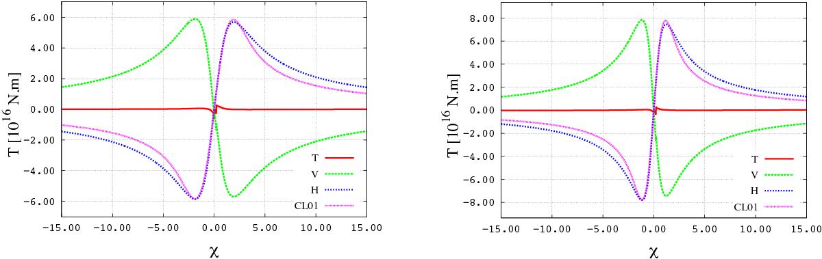
Tidal torque applied to the atmosphere of Earth (left panel) and Venus (right panel) by the thermal semidiurnal tide and its components as functions of the reduced frequency χ = (Ω−norb) /norb (horizontal axis). The forcings consist of academic quadrupolar perturbations expressed as and with U2 = −0.985 m2 s-2 and J2 = 1.0 × 10-2 m2 s-3 for the Earth and U2 = −2.349 m2 s-2 and J2 = 1.0 × 10-4 m2 s-3 for Venus. Labels T, H, and V refer to the total response and its horizontal and vertical components, respectively (we note that ). The label CL01 refers to the model by Correia & Laskar (2001), given by Eq. (175).

This figure is made of several images, please see below:

Current usage metrics show cumulative count of Article Views (full-text article views including HTML views, PDF and ePub downloads, according to the available data) and Abstracts Views on Vision4Press platform.

Data correspond to usage on the plateform after 2015. The current usage metrics is available 48-96 hours after online publication and is updated daily on week days.

Initial download of the metrics may take a while.