Free Access

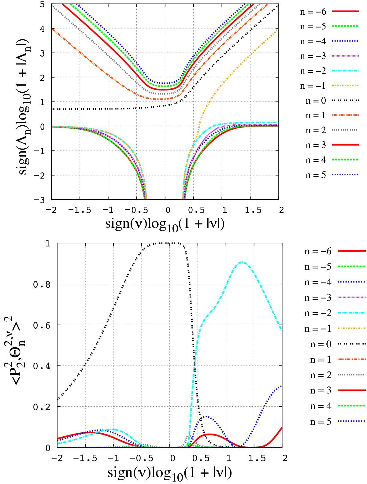
Fig. A.1

image

Top: eigenvalues () of the gravity and Rossby modes of lowest degrees (− 6 ≤ n ≤ 5) as functions of the spin parameter (ν). The horizontal axis represents the function of ν given by , and the vertical axis the function of given by . Bottom: projection coefficients of the normalized Legendre polynomial on normalized Hough functions associated with these modes as functions of the spin parameter (see Eq. (70)).

This figure is made of several images, please see below:

Current usage metrics show cumulative count of Article Views (full-text article views including HTML views, PDF and ePub downloads, according to the available data) and Abstracts Views on Vision4Press platform.

Data correspond to usage on the plateform after 2015. The current usage metrics is available 48-96 hours after online publication and is updated daily on week days.

Initial download of the metrics may take a while.