Free Access

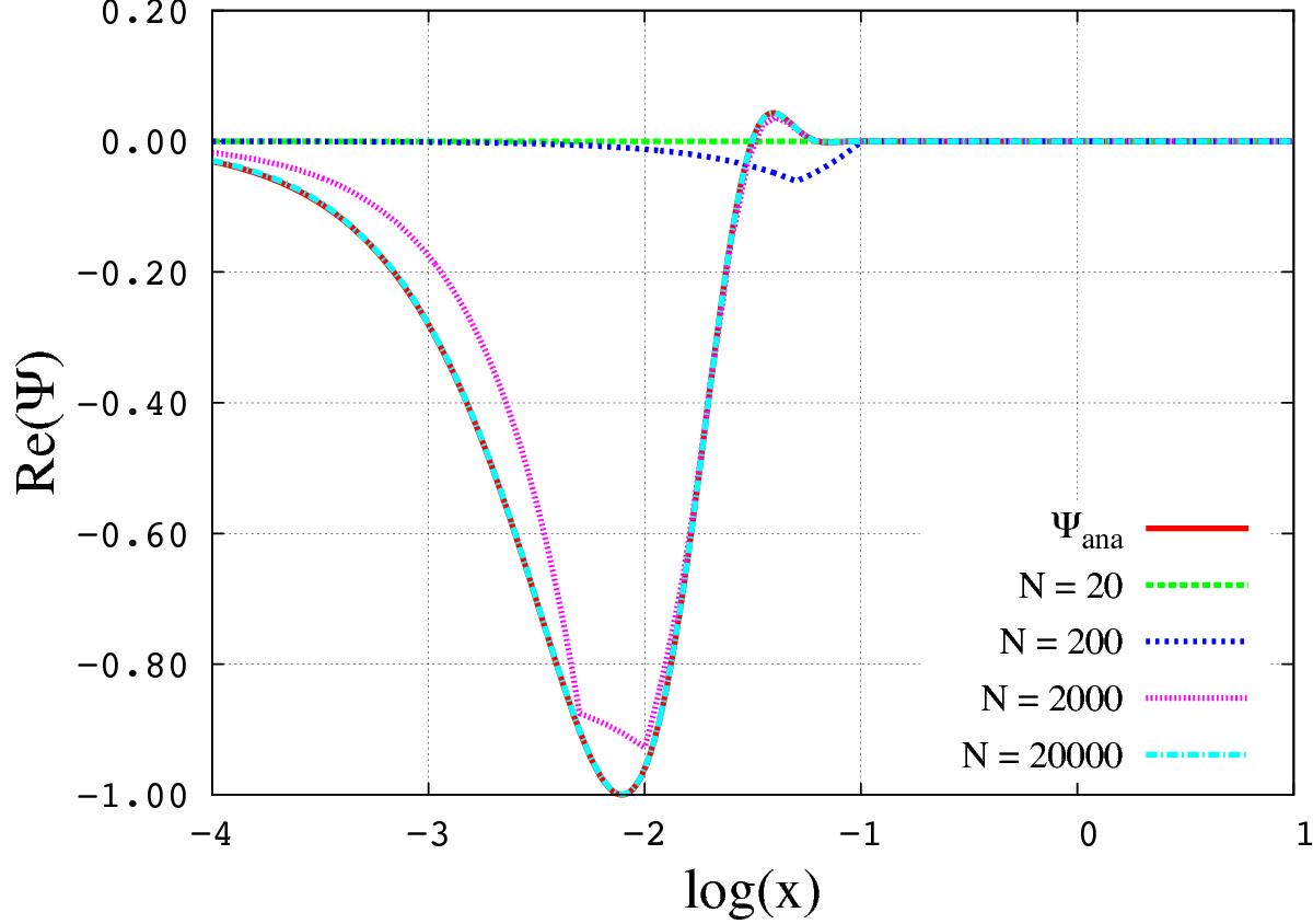
Fig. G.1

image

Real part of the solution of Eq. (G.1) as a function of x in logarithmic scale computed numerically for various mesh resolutions. The number of points of the spatial discretization is set at N = 20 (green dashed line), N = 200 (blue dashed line), N = 2000 (pink dashed line), and N = 20 000 (cyan dashed line). These numerical solutions are compared to the analytical solution given by Eq. (129) (red line).

Current usage metrics show cumulative count of Article Views (full-text article views including HTML views, PDF and ePub downloads, according to the available data) and Abstracts Views on Vision4Press platform.

Data correspond to usage on the plateform after 2015. The current usage metrics is available 48-96 hours after online publication and is updated daily on week days.

Initial download of the metrics may take a while.