Free Access

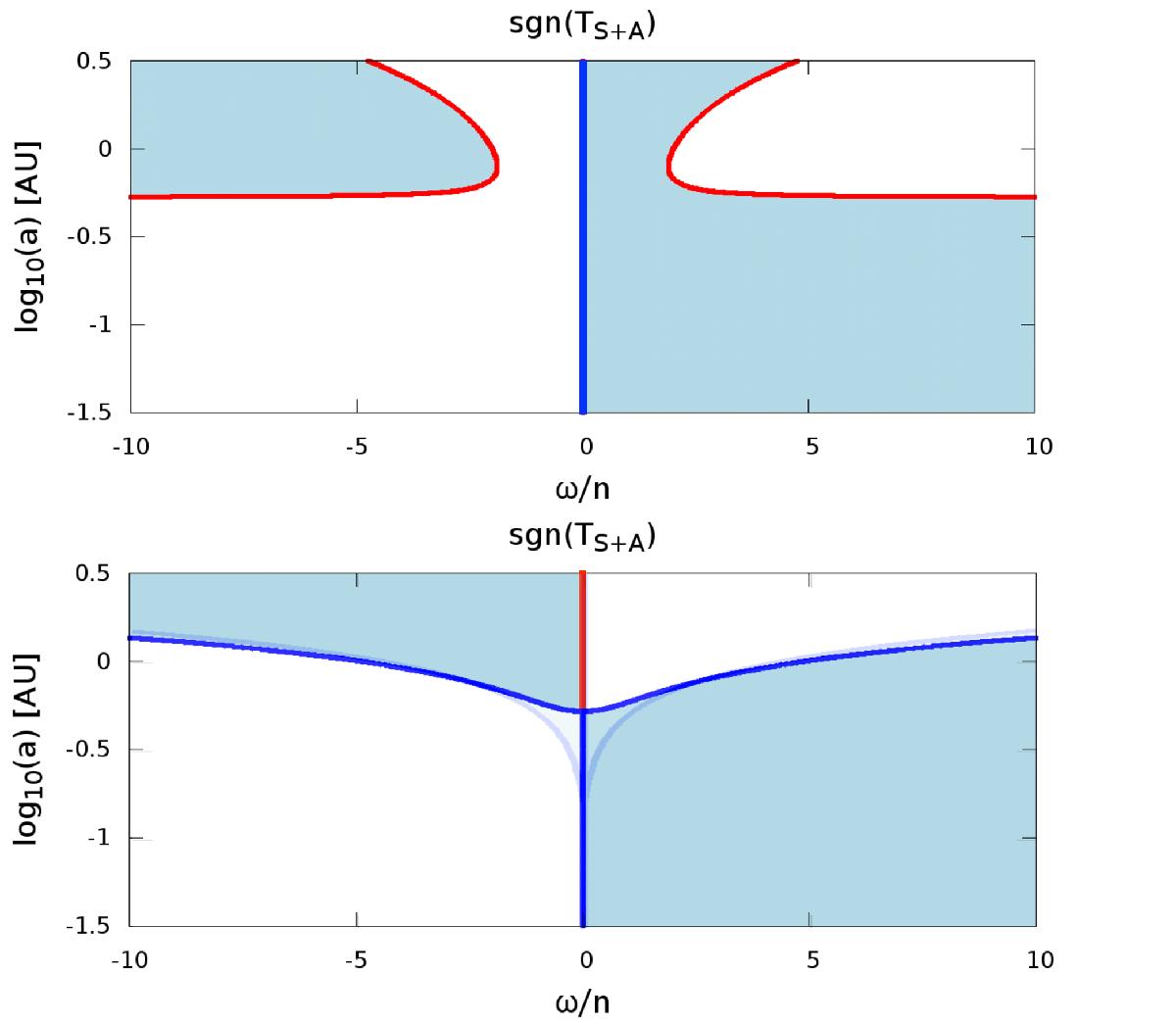
Fig. 4

image

Sign of the total tidal torque as a function of the tidal frequency ω/n (horizontal axis) and orbital radius (a) (vertical axis) for two different cases. Top: with ω0 = 3.77 × 10-7 s-1 and ωM = 3.7 × 10-8 s-1 (ω0>ωM). Bottom: with T0 and ω0 depending on the star-planet distance and ωM>ω0. White (blue) areas correspond to positive (negative) torque. Blue (red) lines designate stable (unstable) states of equilibrium.

This figure is made of several images, please see below:

Current usage metrics show cumulative count of Article Views (full-text article views including HTML views, PDF and ePub downloads, according to the available data) and Abstracts Views on Vision4Press platform.

Data correspond to usage on the plateform after 2015. The current usage metrics is available 48-96 hours after online publication and is updated daily on week days.

Initial download of the metrics may take a while.