Free Access

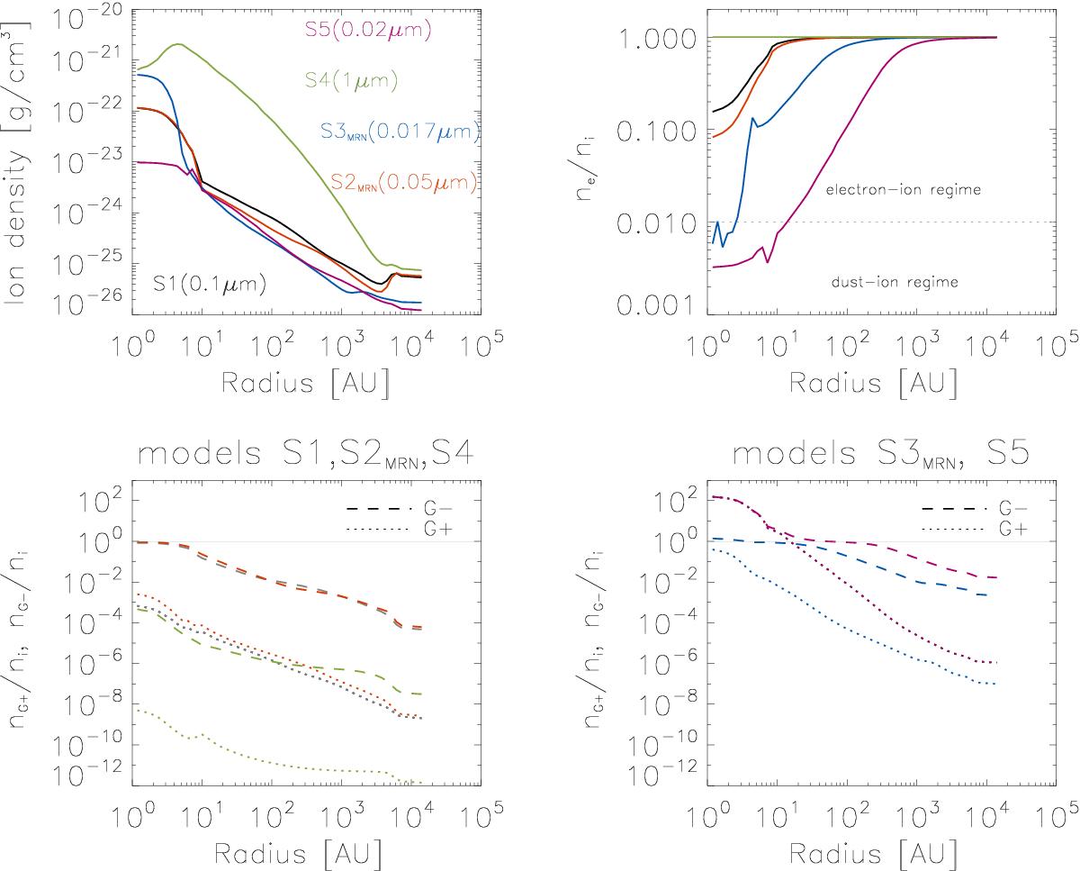
Fig. 3

image

Various properties of charged species and magnetic diffusivities radial profiles shown for models S1 (black), S2MRN (red), S3MRN (blue), S4 (green), and S5 (lilac). The colours refer to the same models in all following figures. Plots show, from left to right, the density of ion vs. radius, the relation of electron density to the ion density, and the relative abundances of charged dust to the ion density (bottom).

Current usage metrics show cumulative count of Article Views (full-text article views including HTML views, PDF and ePub downloads, according to the available data) and Abstracts Views on Vision4Press platform.

Data correspond to usage on the plateform after 2015. The current usage metrics is available 48-96 hours after online publication and is updated daily on week days.

Initial download of the metrics may take a while.