Free Access

Fig. 15

image

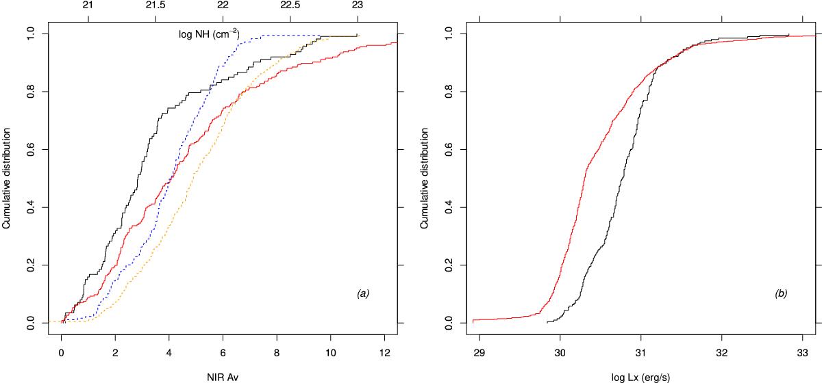
a) Cumulative distributions of AV (derived from NIR colors) for Tr 16 X-ray sources observed here spectroscopically (black solid line) and unobserved (red solid line). Blue and orange dashed lines indicate the cumulative distributions of gas column density NH (scale on top axis) for the same subsamples, respectively; b) as in panel a), for the X-ray luminosity LX.

This figure is made of several images, please see below:

Current usage metrics show cumulative count of Article Views (full-text article views including HTML views, PDF and ePub downloads, according to the available data) and Abstracts Views on Vision4Press platform.

Data correspond to usage on the plateform after 2015. The current usage metrics is available 48-96 hours after online publication and is updated daily on week days.

Initial download of the metrics may take a while.