Free Access

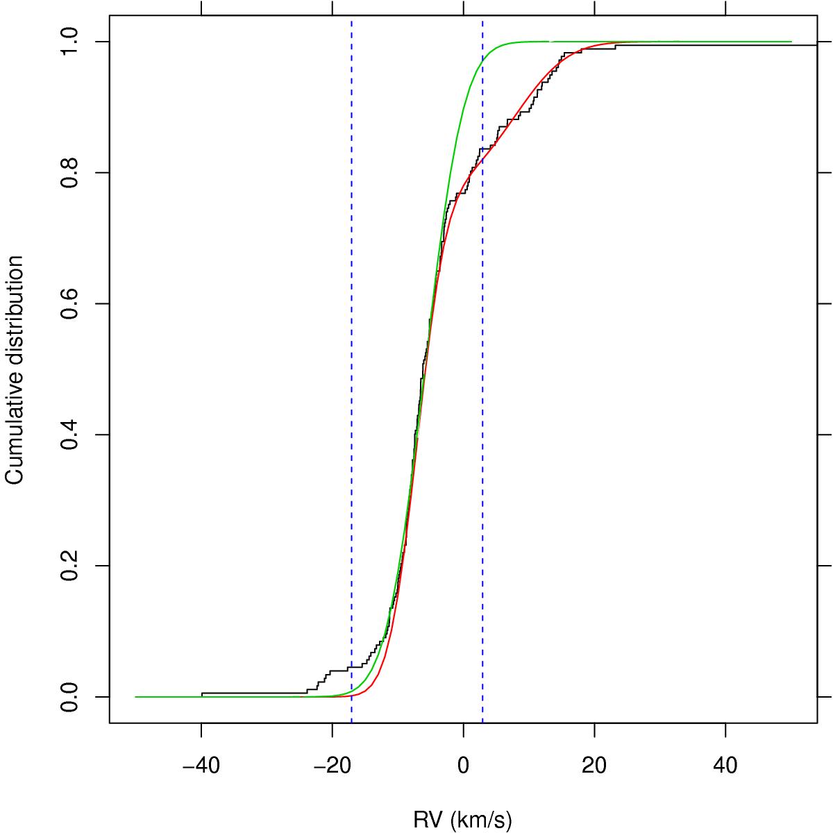
Fig. 4

image

Cumulative RV distribution for late-type members with Teff< 7000 K and vsini< 50 km s-1 (solid line). The green line indicates a cumulative single-Gaussian distribution; the red line indicates a double-Gaussian distribution. The blue vertical dashed lines indicate ±7 km s-1 from median RV, as a reference.

Current usage metrics show cumulative count of Article Views (full-text article views including HTML views, PDF and ePub downloads, according to the available data) and Abstracts Views on Vision4Press platform.

Data correspond to usage on the plateform after 2015. The current usage metrics is available 48-96 hours after online publication and is updated daily on week days.

Initial download of the metrics may take a while.