Free Access

Fig. 9

image

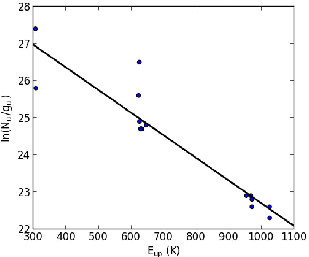
Vibrational diagram for all of the HC3N transitions from G35.20 B3 including ground and vibrationally excited states with J = 37–36 and J = 38–37. Fluxes for 13C isotopologues were multiplied by 50 to be comparable to Galactic isotope ratios. The vibrational temperature calculated for peak B3 is 160 ± 20 K

Current usage metrics show cumulative count of Article Views (full-text article views including HTML views, PDF and ePub downloads, according to the available data) and Abstracts Views on Vision4Press platform.

Data correspond to usage on the plateform after 2015. The current usage metrics is available 48-96 hours after online publication and is updated daily on week days.

Initial download of the metrics may take a while.