Free Access

Fig. 2

image

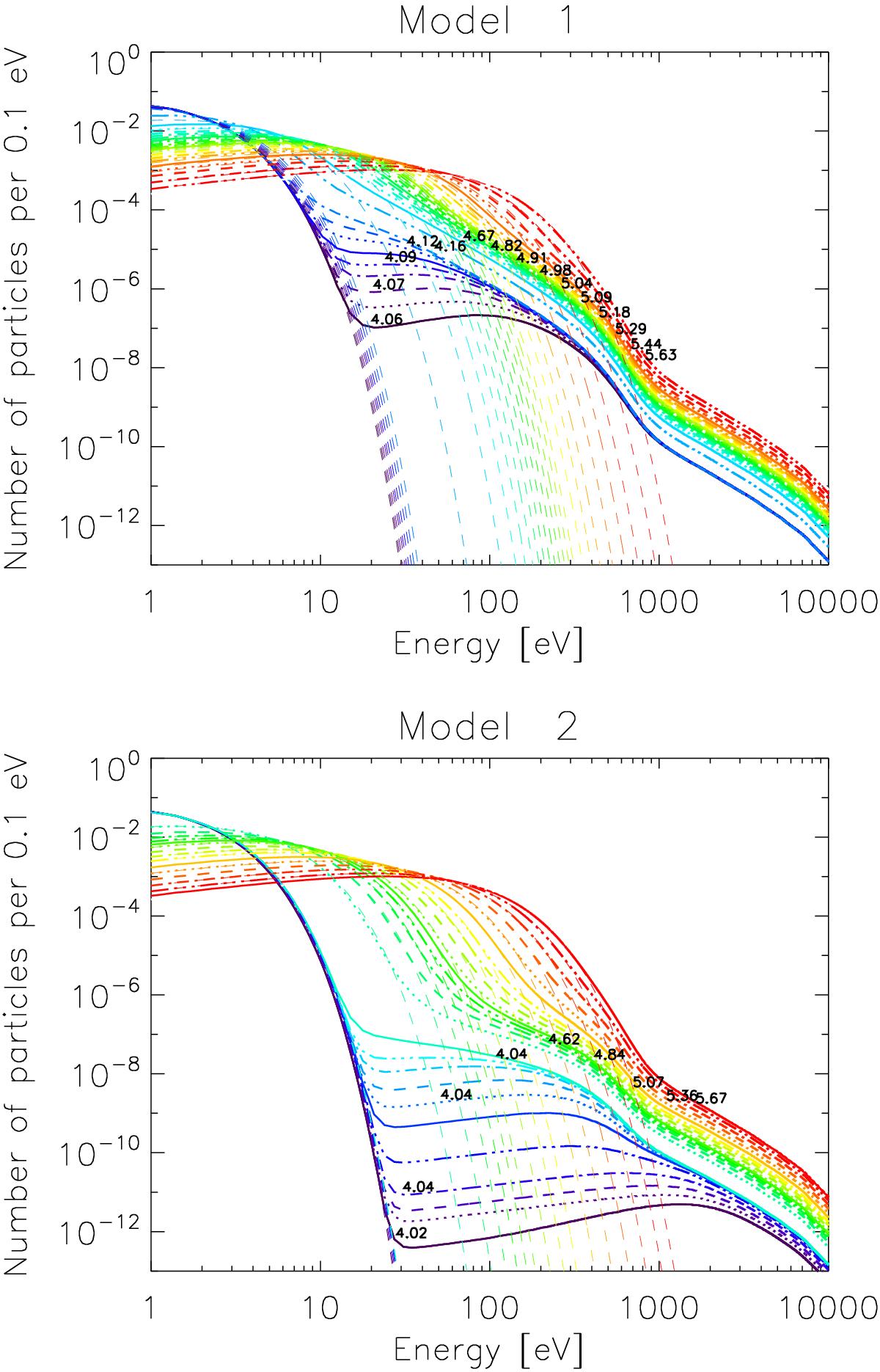
Distribution functions at different positions in the transition-region along the loop in the Model 1 (top) and Model 2 (bottom). Different colors mark different distances along the loop model, and they are labeled by logarithm of temperature. Dashed lines correspond to the Maxwellian core of the distributions.

This figure is made of several images, please see below:

Current usage metrics show cumulative count of Article Views (full-text article views including HTML views, PDF and ePub downloads, according to the available data) and Abstracts Views on Vision4Press platform.

Data correspond to usage on the plateform after 2015. The current usage metrics is available 48-96 hours after online publication and is updated daily on week days.

Initial download of the metrics may take a while.