Free Access

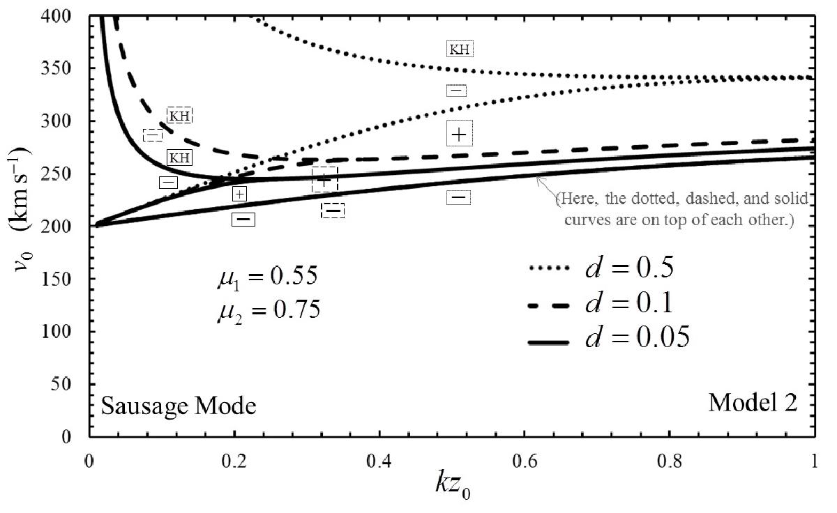
Fig. 5

image

Contour plot of the variation of ωi2 in the case of sausage modes in terms of the equilibrium flow speed and the value of the dimensionless parameter kz0 for model 2. The values of the density is shown in the legend of the figure. The region where instability occurs is shown by the plus symbol.

Current usage metrics show cumulative count of Article Views (full-text article views including HTML views, PDF and ePub downloads, according to the available data) and Abstracts Views on Vision4Press platform.

Data correspond to usage on the plateform after 2015. The current usage metrics is available 48-96 hours after online publication and is updated daily on week days.

Initial download of the metrics may take a while.