Free Access

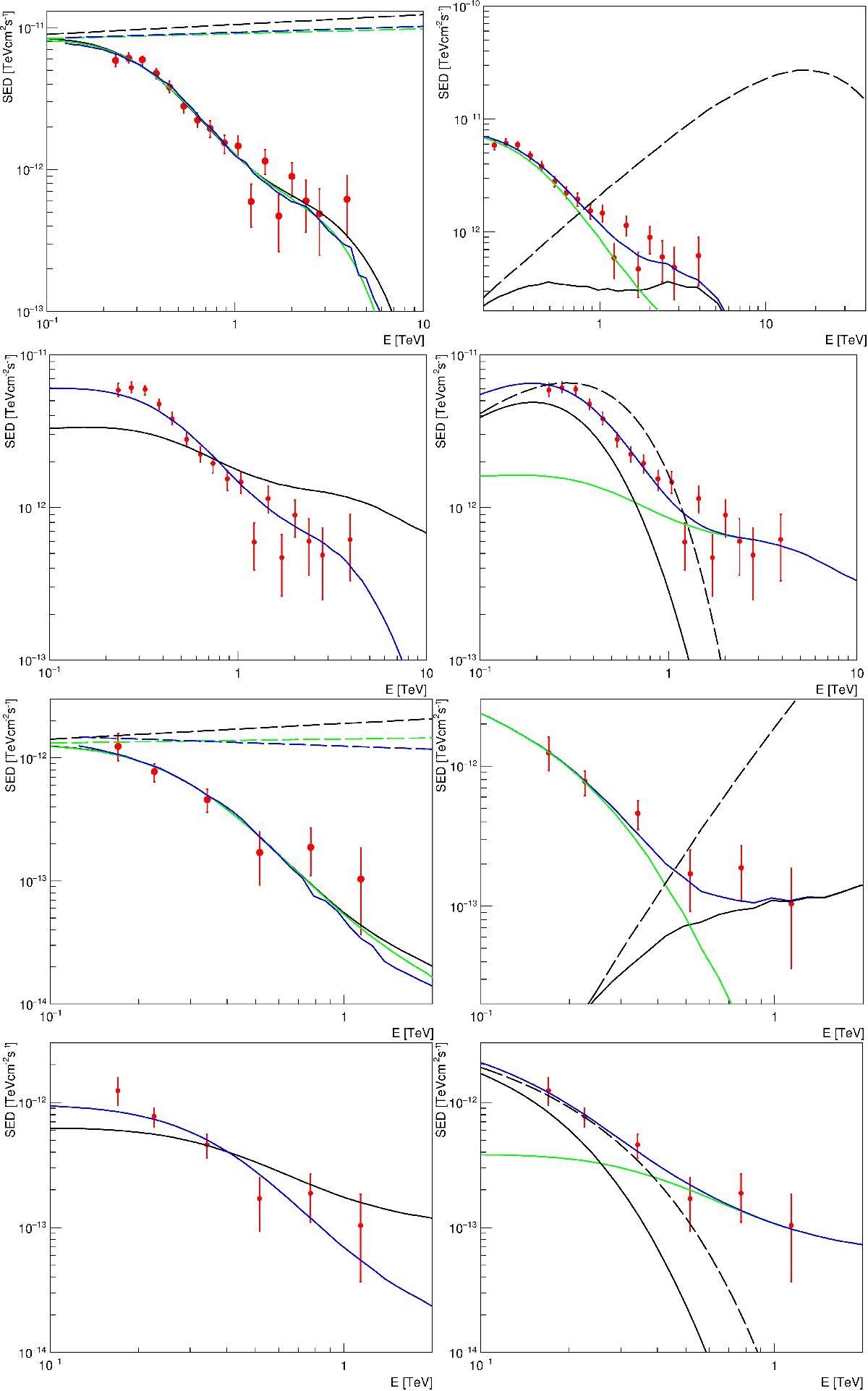
Fig. 18

image

Model fits for the case of 1ES 1218+304 (first row, left – absorption-only model; first row, right – electromagnetic cascade model; second row, left – basic hadronic model (black curve – zc = 0, blue curve – zc = 0.15); second row, right – modified hadronic model) and 1ES 0414+009 (third row, left – absorption-only model; third row, right – electromagnetic cascade model; bottom-left – basic hadronic model (black curve – zc = 0, blue curve – zc = 0.25); bottom-right – modified hadronic model).

This figure is made of several images, please see below:

Current usage metrics show cumulative count of Article Views (full-text article views including HTML views, PDF and ePub downloads, according to the available data) and Abstracts Views on Vision4Press platform.

Data correspond to usage on the plateform after 2015. The current usage metrics is available 48-96 hours after online publication and is updated daily on week days.

Initial download of the metrics may take a while.