Free Access

Fig. 8

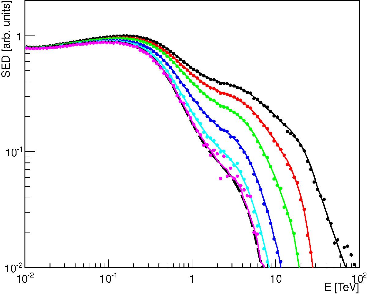
image

The comparison between observable SEDs obtained in the full hybrid approach (circles) and the universal hybrid method approach (solid curves) for different values of the zc parameter: black – zc = 0, red – zc = 0.02, green – zc = 0.05, blue – zc = 0.10, cyan – zc = 0.15, magenta – zc = 0.18. Primary proton energy Ep0 = 30 EeV. The universal spectrum for the case of primary γ-rays with energy 1 PeV is shown for comparison (dashed black line). Relative normalization of all spectra is done at E = 10 GeV.

Current usage metrics show cumulative count of Article Views (full-text article views including HTML views, PDF and ePub downloads, according to the available data) and Abstracts Views on Vision4Press platform.

Data correspond to usage on the plateform after 2015. The current usage metrics is available 48-96 hours after online publication and is updated daily on week days.

Initial download of the metrics may take a while.