Free Access

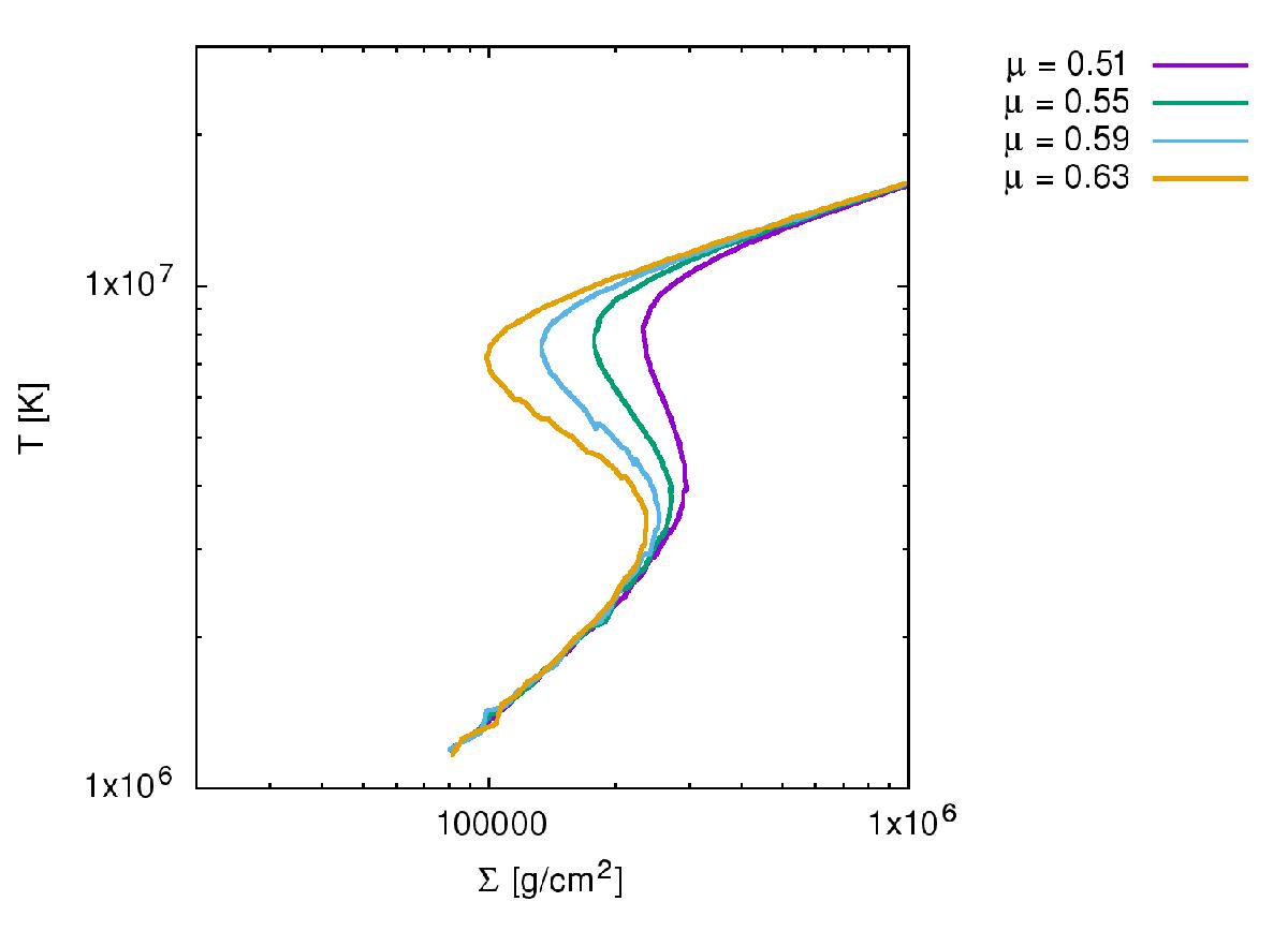
Fig. 1

image

Local stability curves for μ = 0.51, μ = 0.55, μ = 0.59 and μ = 0.63. Parameters: M = 3 × 104M, α = 0.02, and = 0.7. The chosen radius is cm, corresponding to the inner, hot area of the disk. The curves depend strongly on the μ parameter, and larger μ provides a larger negative derivative range corresponding to the unstable state.

Current usage metrics show cumulative count of Article Views (full-text article views including HTML views, PDF and ePub downloads, according to the available data) and Abstracts Views on Vision4Press platform.

Data correspond to usage on the plateform after 2015. The current usage metrics is available 48-96 hours after online publication and is updated daily on week days.

Initial download of the metrics may take a while.