Free Access

This article has an erratum: [https://doi.org/10.1051/0004-6361/201629684e]


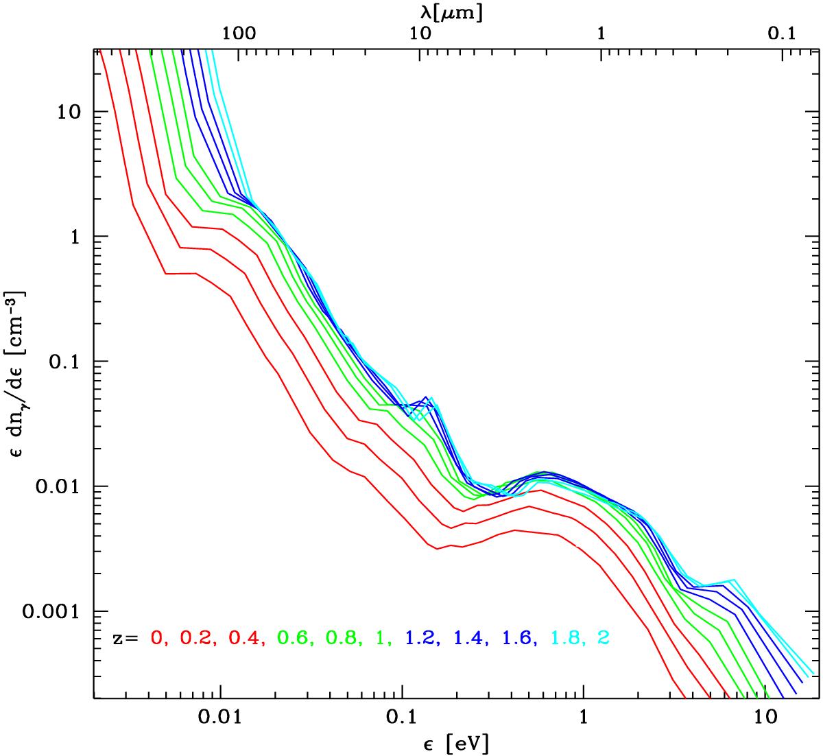
Fig. 10

image

Proper number density of EBL photons (energy-weighted) as a function of the energy ϵ. The various curves correspond to different redshifts, as indicated in the figure insert.

Current usage metrics show cumulative count of Article Views (full-text article views including HTML views, PDF and ePub downloads, according to the available data) and Abstracts Views on Vision4Press platform.

Data correspond to usage on the plateform after 2015. The current usage metrics is available 48-96 hours after online publication and is updated daily on week days.

Initial download of the metrics may take a while.