Free Access

This article has an erratum: [https://doi.org/10.1051/0004-6361/201629684e]


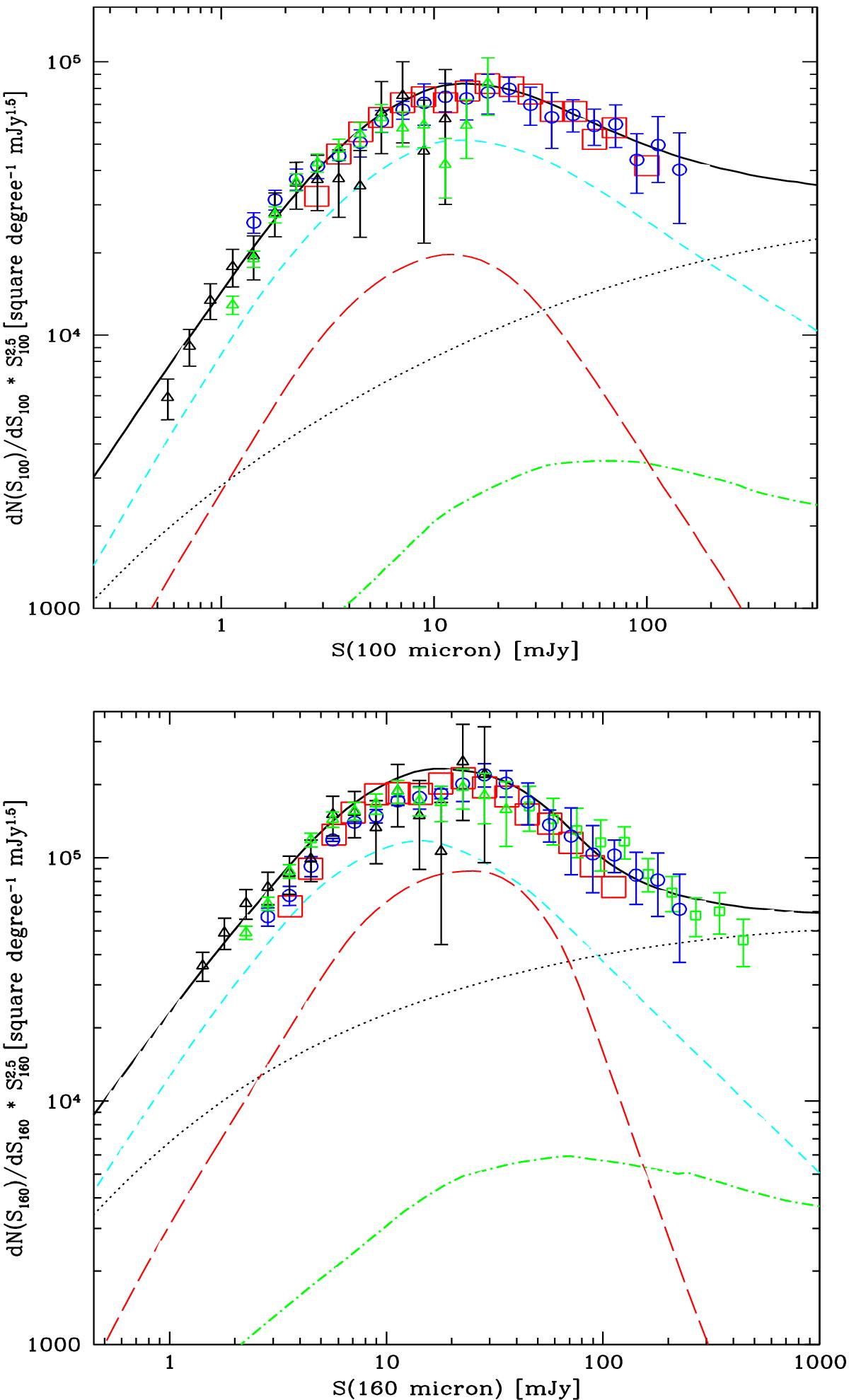
Fig. 3

image

Top: euclidean-normalized differential number counts of extragalactic sources at 100 μm from Berta et al. (2010). The cyan short-dashed line are the LIRG and the red long-dashed line the ULIRG populations. Black dotted and green dot-dash lines are the normal spiral and type-1 AGN sources. Bottom: differential number counts of extragalactic sources at 160 μm compared with our model fit. The red open square and blue open circle datapoints are from Berta et al. (2010) and Berta et al. (2011), respectively, while the small green open squares are a re-analysis of the Spitzer/MIPS data by Bethermin et al. (2010). Black triangles are from Magnelli et al. (2013). The lines are our model fits and population decomposition (see Sect. 3).

This figure is made of several images, please see below:

Current usage metrics show cumulative count of Article Views (full-text article views including HTML views, PDF and ePub downloads, according to the available data) and Abstracts Views on Vision4Press platform.

Data correspond to usage on the plateform after 2015. The current usage metrics is available 48-96 hours after online publication and is updated daily on week days.

Initial download of the metrics may take a while.