Free Access

Fig. 4

image

Download original image

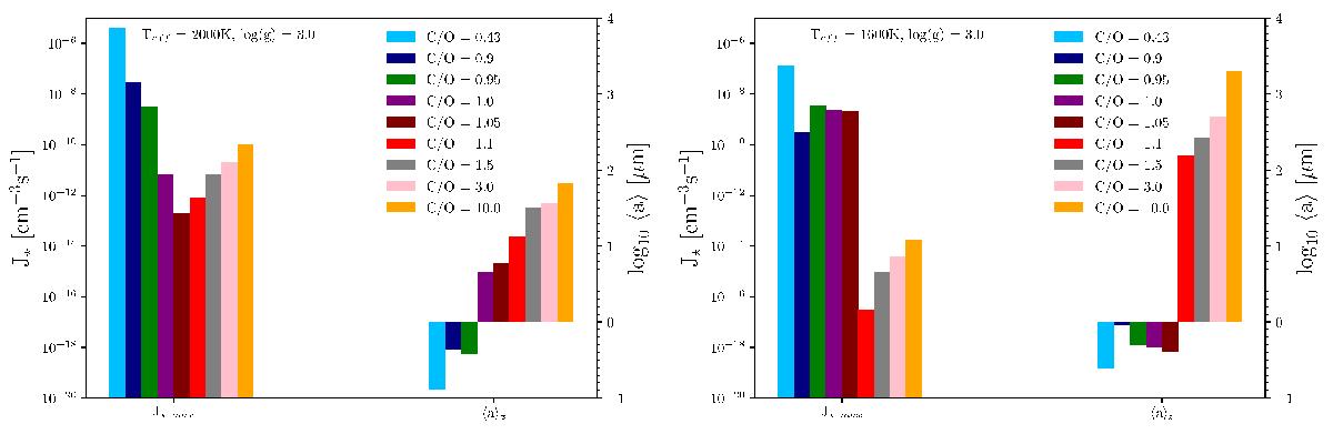
Global changes of cloud structure. Changes in maximum nucleation rate throughout cloud layer (left cluster of bars) and average mean grain size throughout cloud layer (right cluster of bars). Data taken from range of C/O0 ratios from 0.43 to 10.0. Left: Teff = 2000 K and log(g) = 3.0. Right: Teff = 1600 K and log(g) = 3.0.

This figure is made of several images, please see below:

Current usage metrics show cumulative count of Article Views (full-text article views including HTML views, PDF and ePub downloads, according to the available data) and Abstracts Views on Vision4Press platform.

Data correspond to usage on the plateform after 2015. The current usage metrics is available 48-96 hours after online publication and is updated daily on week days.

Initial download of the metrics may take a while.