Free Access

Fig. 5

image

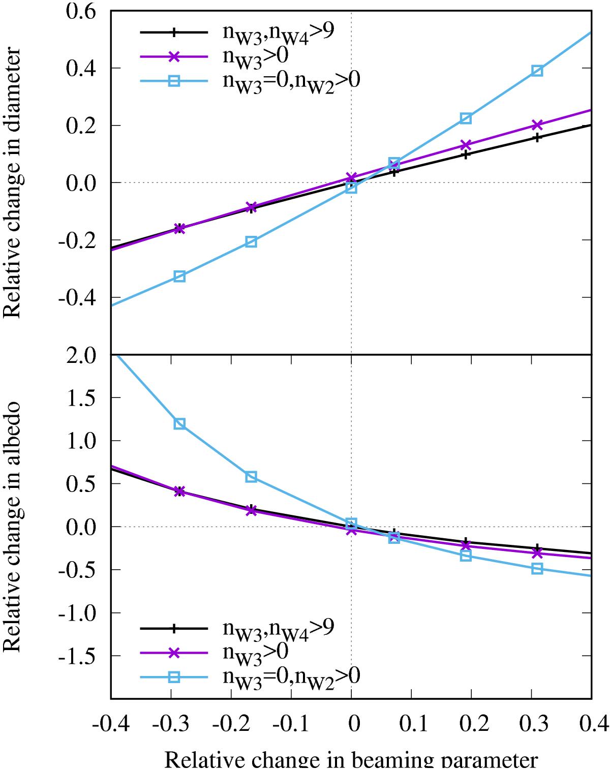
Relative change in diameter (top) and visible geometric albedo (bottom) as a function of the relative change in the beaming parameter for MC asteroid (90943). We took the fitted value of η obtained from the first group of observations (labelled nW3, nW4> 9) as reference and fitted diameters using different fixed η values (up to ±40%) for three groups of observations. The label nW3, nW4> 9 means that W3 and W4 data were available (more than 9 data points in each band), nW3> 0 indicates that the diameter was only fitted to 12 μm (W3) data, and nW3 = 0, nW2> 0 only to 4.6 μm (W2) data only. We note the different scales in the panels.

Current usage metrics show cumulative count of Article Views (full-text article views including HTML views, PDF and ePub downloads, according to the available data) and Abstracts Views on Vision4Press platform.

Data correspond to usage on the plateform after 2015. The current usage metrics is available 48-96 hours after online publication and is updated daily on week days.

Initial download of the metrics may take a while.