Free Access

Fig. 9

image

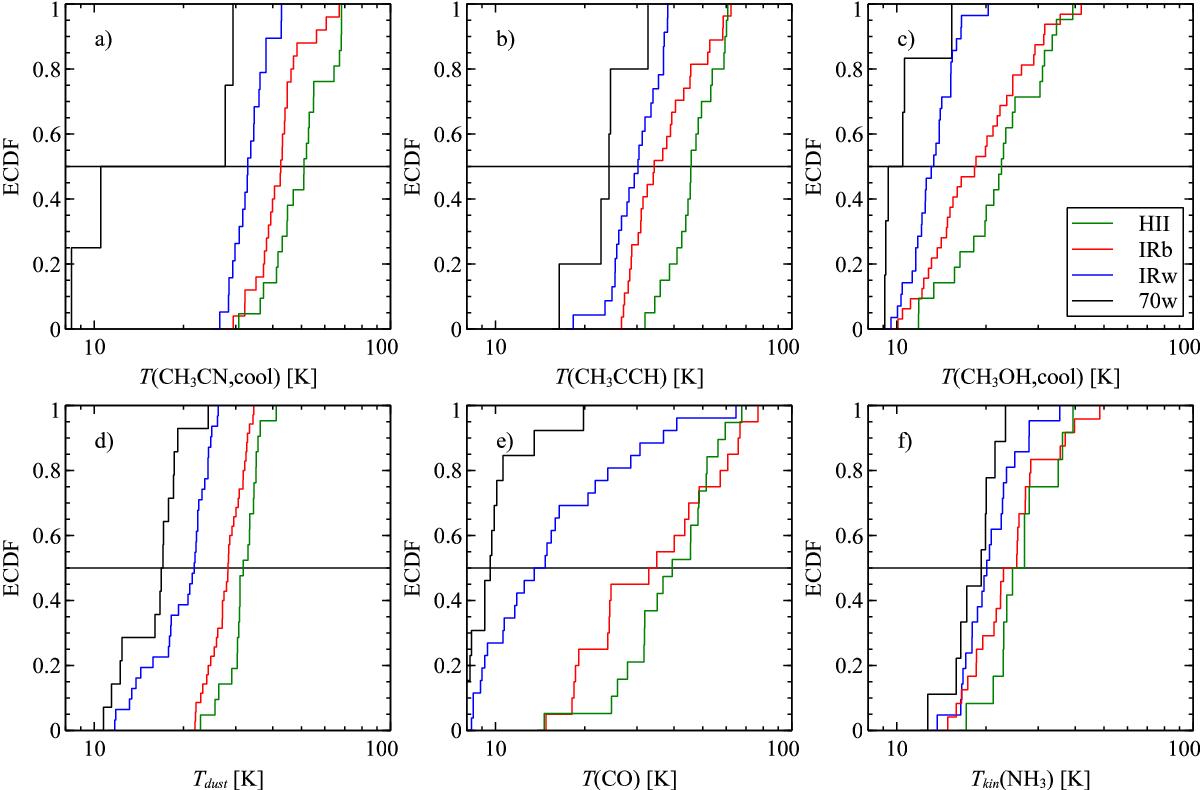
Comparison between empirical cumulative distribution functions of the temperature for the four evolutionary classes defined for the TOP100. Each panel show one of the species analised in this work. The four evolutionary classes are indicated in a different colour, according to the legend shown in the lower right corner of panel c). The solid line at p = 0.5 shows the median of the distributions.

Current usage metrics show cumulative count of Article Views (full-text article views including HTML views, PDF and ePub downloads, according to the available data) and Abstracts Views on Vision4Press platform.

Data correspond to usage on the plateform after 2015. The current usage metrics is available 48-96 hours after online publication and is updated daily on week days.

Initial download of the metrics may take a while.