Free Access

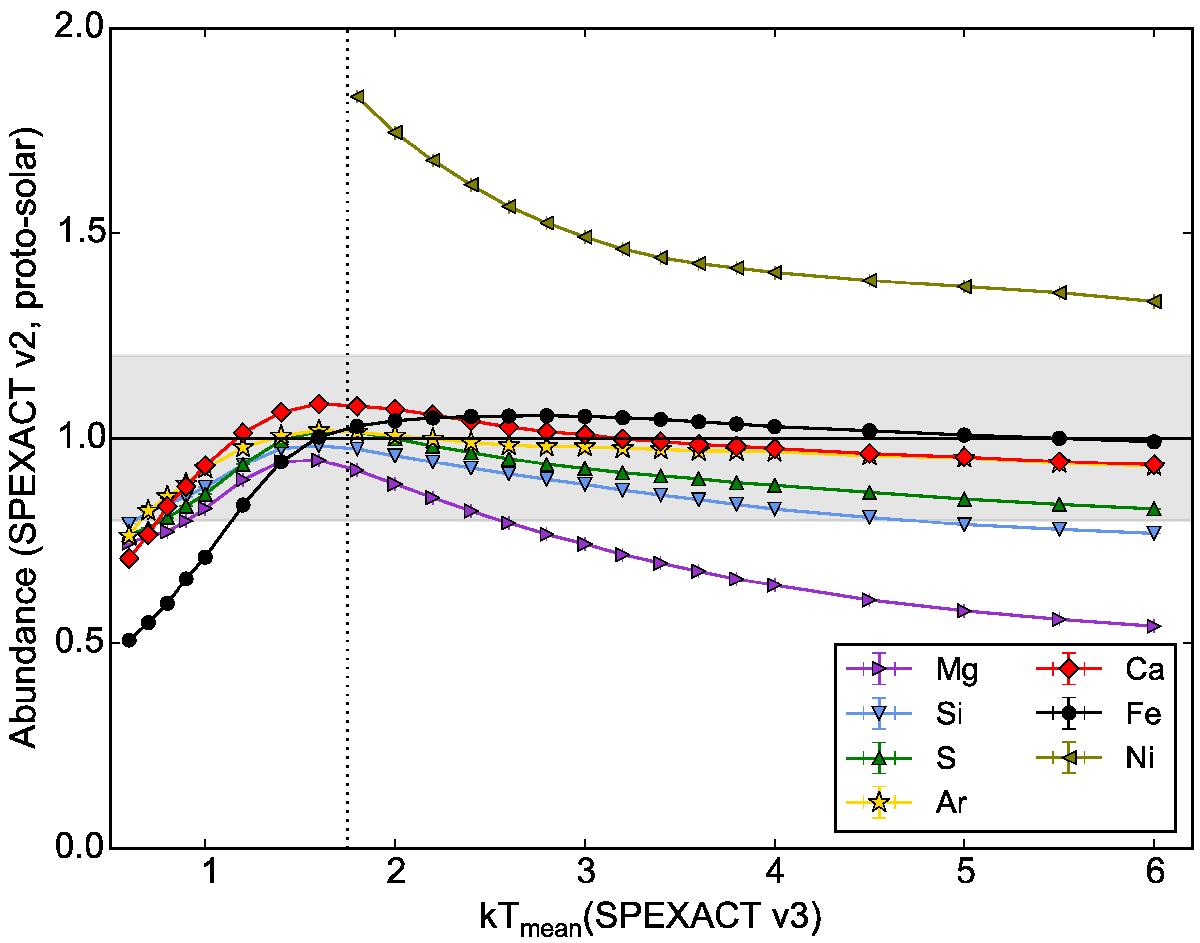
Fig. 9

image

Abundance results from (gdem) local fits with SPEXACT v2 to simulated SPEXACT v3 spectra for a range of temperatures. The measured abundances are shown and compared to their input value of 1 proto-solar. The grey shaded area shows the ±20% level of uncertainty. The vertical dotted line indicates our (arbitrary) separation between clusters and groups.

Current usage metrics show cumulative count of Article Views (full-text article views including HTML views, PDF and ePub downloads, according to the available data) and Abstracts Views on Vision4Press platform.

Data correspond to usage on the plateform after 2015. The current usage metrics is available 48-96 hours after online publication and is updated daily on week days.

Initial download of the metrics may take a while.