Free Access

Fig. 6

image

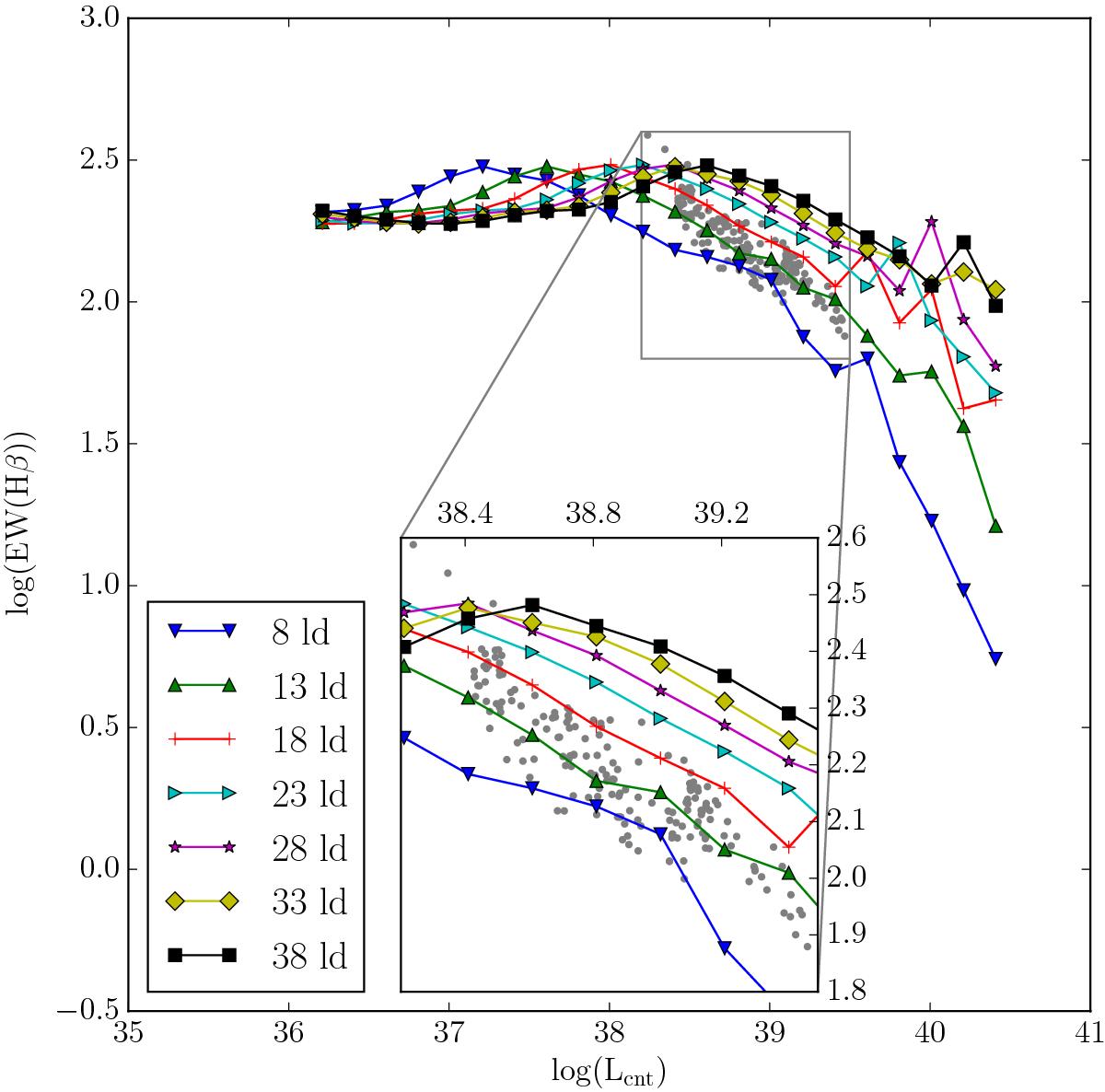
Correlation of the EW Hβ with the incident luminosity of the continuum at 5100 Å  for different RBLR (denoted in the bottom left), obtained from the Cloudy simulations. Circles represent observed intrinsic Beff for the Hβ line of NGC 4151 with continuum fluxes corrected for the host-galaxy contribution (zoomed-in for better visibility).

Current usage metrics show cumulative count of Article Views (full-text article views including HTML views, PDF and ePub downloads, according to the available data) and Abstracts Views on Vision4Press platform.

Data correspond to usage on the plateform after 2015. The current usage metrics is available 48-96 hours after online publication and is updated daily on week days.

Initial download of the metrics may take a while.