Free Access

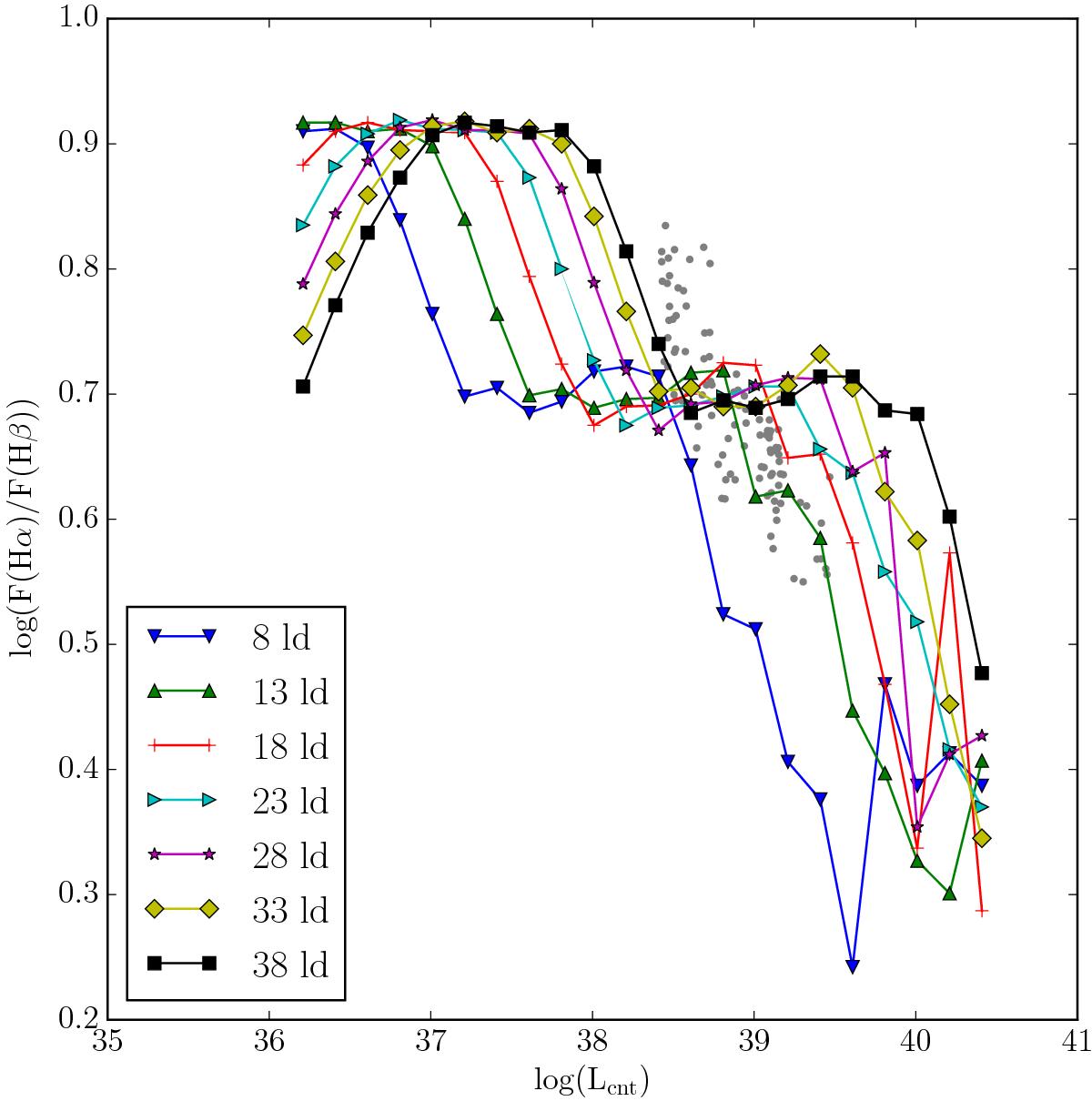
Fig. 7

image

Hα/Hβ ratio vs. the continuum at 5100 Å for different RBLR sizes (denoted in the bottom left) compared with the observed ratio for NGC 4151 (circles).

Current usage metrics show cumulative count of Article Views (full-text article views including HTML views, PDF and ePub downloads, according to the available data) and Abstracts Views on Vision4Press platform.

Data correspond to usage on the plateform after 2015. The current usage metrics is available 48-96 hours after online publication and is updated daily on week days.

Initial download of the metrics may take a while.